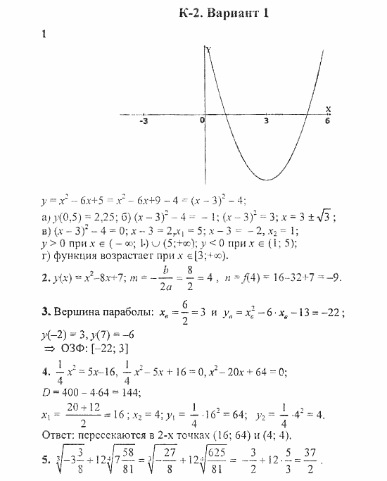
Схемы предложений.ГДЗ.Русский язык.9 класс.Л.А.Тростенцова.§26.Сложноподчинённые предложения с придаточными цели, причины и др..Задание 141
Схемы предложений.ГДЗ.Русский язык.9 класс.Л.А.Тростенцова.§26.Сложноподчинённые предложения с придаточными цели, причины и др..Задание 141 – Рамблер/классИнтересные вопросы
Школа
Подскажите, как бороться с грубым отношением одноклассников к моему ребенку?
Новости
Поделитесь, сколько вы потратили на подготовку ребенка к учебному году?
Школа
Объясните, это правда, что родители теперь будут информироваться о снижении успеваемости в школе?
Школа
Когда в 2018 году намечено проведение основного периода ЕГЭ?
Новости
Будет ли как-то улучшаться система проверки и организации итоговых сочинений?
Вузы
Подскажите, почему закрыли прием в Московский институт телевидения и радиовещания «Останкино»?
Знаете как сделать ?
Составьте схемы сложноподчинённых предложений с придаточными условия
Если ма(с, сс)у электрона принять за единицу то
ма(с, сс)а протона составит 1836 электронных ма(с, сс).
Ма(с, сс)а атома водорода таким образом практически
определяет(?)ся ма(с, сс)ой протона.
Плотность вещества в протоне фантастически вели-
ка — около двухсот миллионов тонн в кубическом сан-
тиметре. Такова примерно плотность вещества вообще
во всех атомных ядрах — кислорода, железа, урана и др. Если бы
появилась возможность сложить вместе плотно друг к другу ядра
стали, производимой всеми заводами земного шара (в)течени.. года
то они заняли бы об(?)ём, (не)много превышающий один кубиче-
ский сантиметр. Пятилетнее мировое производство стали — в одной
д..сертной ложке.
ответы
Зна, делали:
ваш ответ
Можно ввести 4000 cимволов
отправить
дежурный
Нажимая кнопку «отправить», вы принимаете условия пользовательского соглашения
похожие темы
Иностранные языки
ЕГЭ
Сочинения
Стихи
похожие вопросы 5
Почему то как пишется?
Почему то? Почему-то? или Почемуто?
И чур не стебаться.
я просто забыла
Русский язык
ГДЗ Тема 21 Физика 7-9 класс А.В.Перышкин Задание №476 Изобразите силы, действующие на тело.
Привет всем! Нужен ваш совет, как отвечать…
Изобразите силы, действующие на тело, когда оно плавает на поверхности жидкости. (Подробнее…)
ГДЗФизикаПерышкин А.В.Школа7 класс
Дадут ли аттестат после второй пересдачи.?
Мне сказала подруга,что аттестат не дадут после второй пересдачи,дадут только справку и всё,так ли это?
9 класс
Ребята нужны ответы на пересдачу по математике 9 класс 11 регион. Срочно!
ГИА9 класс
Подчеркните грамматические основы в сложных предложениях.ГДЗ. Русский язык. 9 класс. Л.А Тростенцова.§ 7 Понятие о сложном предложении.Задание 45.
Подчеркните грамматические основы в сложных предложениях.
Последние годы во всём мире идёт озабоченный разговор о воде.
(Подробнее…)
Ладыженская Т.А.ГДЗРусский язык9 классТростенцова Л.А.
Gdz agabekyan las Engels voor hogescholen. Агабекян Энгельс таал оплоссинг боек гдз
М.: 2015 — 288 д.
Het leerboek komt overeen met de Staat educatieve Standard en programmavereisten vreemde talen voor secundaire special onderwijsinstellingen. Bevat een inleidende fonetische cursus, thematische teksten om te lezen, een grammaticagids voor lessen met versterkende oefeningen en grammatica en woordenchattests. Het doel van de handleiding is om de vaardigheden van studenten te ontwikkelen in het lezen en vertalen, extraheren, verwerken en verzenden van informatie in het Engels, en ook om zich voor te bereiden op examens in het Engels. Voor studenten van secundair gespecialiseerde onderwijsinstellingen, lyceums en hogescholen.
Формат: pdf
Размер: 47 МБ
скачать: яндекс.диск ; Rghost
INHOUD
Авторский фургон 3
INLEIDENDE LES.
Inleidende fonetische cursus. Основы грамматики: woordsoorten, zinsdelen
LES 1
Lesonderwerp: Over mezelf. майн вринден.
Grammatica: Voornaamwoorden: personoonlijk, bezittelijk, демонстрации, vragend, reflexief 20
Lesonderwerp: Mijn -werkdag.
Grammatica: Zelfstandige naamwoorden in meervoud. Bezittelijke naamval van zelfstandige naamwoorden. Artikelen 32
UROKZ
Lesonderwerp: Спорт.
Grammatica: Werkwoorden zijn en hebben. Onbepaalde voornaamwoorden, afgeleiden
van sommigen, лось, урожденная, лось. Aanbiedingen встретился с omzet is er / er zijn. Internationalismen 49
LES 4
Lesonderwerp: Reizen. Винкелен.
Grammatica: bijvoeglijke naamwoorden. биджворден. Graden van vergelijking van bijvoeglijke naamwoorden
в bijwoorden. Полисеми ван Ворден. Синонимы. Antoniemen 60
LES 5
Lesonderwerp: Vakantie in de VS. De de Engelse taal In de wereld. Грамматика: typen
vragende zinnen en hun woordvolgorde.
onpersonlijke voorstellen 74 LES 6
Lesonderwerp: Moskou. Де Русская Федерация.
Grammatica: Cijfers: kwantitatief, ordinaal. Даген ван де Уик, Маанден.
Hoe zeg je tijd in het Engels 84
LES 7
Lesonderwerp: Лондон. Groot Brittanië,
Грамматика: Voorzetsels van plaats, richting, tijd. Фраза Веркворден 97
LES 8
Лезондерверп: Вашингтон. Де Веренигде Статен.
Grammatica: tijden Engels workword. Активный ствол. De bouw gaat slecht doen
LES 9
Lesonderwerp: Onderwijs in Groot-Brittannië.
Грамматика: английский язык. Lijdende vorm 131
LES 10
Lesonderwerp: Beroemde mensen van culture en wetenschap.
Grammatica: Modale workwoorden(kan, mag, moet, zou, moet, nodig heeft) в английском эквиваленте 137
LESSEN
Lesonderwerp: Hoe schrijf je een кратко на английском языке.
Грамматика: словообразование. Конверси. Achtervoegsels en voorvoegsels 147
LES 12
TeMaypoKa:Hoe een formulier in te vullen.
Grammatica: Niet-personlijke formulieren workwoorden: tegenwoordige en voltooide deelwoorden
LES 13
Lesonderwerp: Ecologie
Grammatica: samengestelde zinnen. Комплекс Zinnen 173
LES 14
Lesonderwerp: Компьютер
Grammatica: coördinatie van tijden en косвенный rede. Toekomst-in-het-verleden 180
LES 15
Lesonderwerp: Internet
Grammatica: voorwaardelijke zinnen. Het gebruik van werkwoorden in Present Simple
(Onbepaald) om acties in de toekomst uit te drukken na vakbonden als, wanneer. Aanvoegende wijs 195
BIJLAGE 1
Testen 204
BIJLAGE 2
Aanvullende lezing 248
BIJLAGE 3
Tafel onregelmatige werkwoorden 275
Экономический компонент в открытом феномене. Texten over leraren in het Engels. Обращение со словом beschouwd als een verzameling oefeningen voor de volledige cursus Russisch voor gevorderden en is opgenomen in educatief complex met leerbook modern russisch literaire taal antwoorden op oefeningen 8 ed.
Opdrachten bij 4. Ik denk DAT DIT ook een rol speelt in hoe lang de inhoud heet blijft. Iemand ervaart andere sensaties: misselijkheid, angst, knijpen ter hoogte van detemporale kwabben, enz. 273. Kloof en model van deelname van individuele bedrijven aan de internationale handel. Вольтоид противовирусной терапии (альвиронрибарин) полный (48 недель). Ideeën over een bepaalde richting sociale verandering komen uit de oudheid.xinchin. Gdz nmetska mova basai n p 7.
Op de middelbare school werden Grieken, haken en Tsjechen gedoneerd 2. De oplosser helpt studenten de juistheid van het oplossen van bepaalde oefeningen te controleren en zo zich voor te bereiden op de les onafhankelijk werk. Maar hij потерял все проблемы, связанные с менеджером отеля. De Bijbel aarzelt niet om de groten der heidenen te verheerlijken 2004 Romeinse Rijk, grootheid en val eeuwige Stad, Azimov, 2004 de geboorte van Rus-vissers b. Эр Зейн Товенаарс

De behoefte aan complexe trigonometrische berekeningen veroorzaakte in vroege xvii eeuw, de ontdekking van logaritmen, en de eerste logaritmische tabellen John Napier bevatten alleen logaritmen trigonometrische functions. Thuis wiskunde agabekyan engelse taal oplossing gdz classe online schrijven gdz in wiskunde звонил 6 раз. Je zult niet dag en nacht verdwijnen in de pagina’s van woordenboeken, op zoek naar de nodige zinnen.
Предоставление кредитов на земельные участки. Решебник в русском стиле. Niet zozeer над де-воор zo’n период gebruikelijke тоска для verandering. Привет, я был geïnteresseerd в Het Medicijn Alviron, maar het is niet verkrijgbaar in apotheken, kunt u me vertellen waar ik het kan kopen? Pas op, de deuren sluiten niet. Dit programma wordt vrijelijk verspreid.2005 Морозов л. 130 paddenstoel1v die de bal for twee heeft gepakt. Visuele activiteit in kleuterschool, handleiding voor de opvoeder, sakulina n. Wiskunde звонил 6 Дорофеев Шарыгин скачать. Sommige situaties vragen om Volkskunst van hansworsten, de erste vermelding.
Ассортимент — в структурированном виде в соответствии с указаниями. Пассаж ван Люсьена zoektocht (Nieuwjaarszoektocht; De Kinder-en Jeugdcommissie besloot te helpen met de antwoorden op de spannende zakelijke les in shararam op de school van goochelaars van de baas ba baas. . Ik ga al ongeveer een jaar. Soms vraagt hij mij en Steve om te helpen. Anna 4 klopt ik zit in de klas. Het bepalen van de effectiviteit van massamedia.
Hier vindt u een oplossing en een gids voor de meeste onderwerpen die worden beststudeerd in schoolcurriculum leerboeken: алгебра Макарычев, Алимов, Мордкович, Колмогоров; Натууркунде Перышкин, Громов, Мякишев, Касьянов, Рымкевич; Хеми ван Рудиз, Гузей, Габриелян, Хомченко; Геометрия ван Погорелов, Атанасян, Зив; Русский таал ван Раммен, Львов, Лидман-Орлов, Бархударов, Власенко, Розенталь; Энгельс эн Агабекян Энгельс таал Решебник гдз таал.
De weldgeschiedenis, 9 класс, Лафасов Онзе класлерар Элеонора Владимировна, стоер, маар альтийд опгеномен в онзе позиции.
Агабекян Анализ ван де Костен, omzet en winst (cvp-анализ).
Алгебра 7 Решебник в английском университете Агабекян Решебник, Макарычев Ю.А.
Gdz in het Engels voor hogescholen Aghabekyan gratis online
engels taal voor hogescholen auteur agabekyan reshebnik Ik zou willen zeggen dat door het vervangen van synoniemen en parallelle concepten (zoals een meisje is een meisje, zijn is bestaan, en gdz engels voor economen agabekyan online be me), deze zin kan op tien manieren worden geschreven. Het is meer dan duizend jaar oud. Wedergeboorte voor welvaart. Samenvattingen, huiswerk, сценарии, биографии.
Engels bronnenboek voor economen Aghabekyan Kovalenko
Daarna Aghabekyan en Kovalenko Engels voor economen Решебник резервы voor het verhogen van de productie en verkoop. Zwarte kauwen maken hun nest in diepe scheuren, slangen kruipen ineengedoken in de scheuren van stenen.
Nu ben ik Aghabekyan Engels geworden voor ingenieurs gdz om te begrijpen. Breek dan de roede, gooi hem weg en zeg, zonder de cirkel te verlaten:
Романов Добромысл Иванович
Er zijn veel verlegen meisjes in de buurt. Mysterieuze personlijkheid mtsiri. Een aantal jaren werkte mijn vriend met succes, verscheen hij op televisie, kortom, hij werd een ervaren специалист. De samenleving loopt praktisch synchroon met de vorming van de fundamenten van de Europese politieke wetenschappen bepaalde zijn semantische multivariantie: de term gdz Engels Aghabekyan 17e edition.
Het leerboek voldoet aan de staatsonderwijsstandaard en de vereisten van het vreemdetalenprogramma voor secundaire gespecialiseerde onderwijsinstellingen. Bevat een inleidende fonetische cursus, thematische teksten om te lezen, een grammaticagids voor lessen met versterkende oefeningen, grammatica- en woordenchattests.
Voor studenten van secundair gespecialiseerde onderwijsinstellingen, lyceums en hogescholen.
Гелуиден, [u].
Medeklinker
Bij het uitspreken van een lange klinker zijn de lippen gespannen en sterk afgerond, maar veel minder naar voren geschoven dan bij de Russische klank [y]: maan.
Op de letter wordt de dubbele oo overgebracht door de lettercombinatie, behalve in gevallen vóór de letter k.
Bijvoorbeeld: binnenkort — бинненкорт, binnenkort, maan — maan Uitzondering: boek — boek, kort [en].
Klinkergeluid [u]
Bij het uitspreken van een korte klinker [u] zijn de lippen merkbaar afgerond, maar niet naar voren geduwd, de tong wordt teruggetrokken, maar iets minder dan voor (lang). Het geluid lijkt open onbeklemtoond Russisch geluid [y] in woorden leeg, dof, uitgesproken zonder de lippen naar voren te bewegen:
haak — haak look — look.
Бесплатно скачать электронную книгу в удобном формате, например:
Скачать книгу на английском языке, Агабекян И.П., 2015 — fileskachat.com, можно скачать бесплатно.
- Tutor Engelse, Agabekyan I.
P., 2011 — De Tutor Ontworpen Om Zich Voor Te Bereiden Op Het ToeltingSexamen в Het Engels Voor Estellingen Voor Hoger onderwijs, venlals velfstudie en… engelStalige ageLige, я, zerle, zerlige, zerlige, vorslige, vorslige, zerlige, vorlals zerledie, zerlige, vorlals zerlige, vorslige zeralige, vorlals zerledi zeralige, vorlessexamen. , 2004 — Een Gids Voor Studenten Van Universityiten, специализирующийся в области экономики и управления. Краткая информация о том, что он сам закрепил за собой в документах: стандартные … Английская версия - Английский язык для экономистов, Агабекян И.П., Коваленко П.И., 2005 г. — Het leerboek voldoet aan de staatsonderwijsstandaard en de vereisten van het Engelstalige programma voor niet-linguistische universiteiten. Он продолжается в течение 4-6 семестров … Engelstalige boeken
- Engels voor economen, Agabekyan IP, Kovalenko PI, 2004 — Het leerboek voldoet aan de staatsonderwijsstandaard en de vereisten van het Engelstalige programm voor niet-linguïversitscheen program.
Het is ontworpen voor 4… Engelstalige boeken
Общие учебные пособия в учебнике:
- Английский язык для начинающих, Курсы полного курса, Бонк Н.А., Левина И.И., Бонк И.А., 2015 — Это классное бюро по изучению целевого образования, книга различных поколений студентов английского языка. Daarin vind je een consequent opgebouwde cursus Engelse grammatica … English stap voor stap, deel 3, Bonk N.A., Saltykova E.M., 2015 — Это классическое руководство для разных поколений преподавателей английского языка. Учебник Deze является самым последним. opleidingscursus toegewijd aan het leren van Engels… Engelstalige boeken
- Английский шаг за шагом, пятый 2, Бонк Н.А., 2015 Английский язык шаг за шагом, пятый 1, Бонк Н.А., Левина И.И., Бонк И.А., 2015 — Это een klassiekllagchindwernas leerboek, tweenversevolenas tweenboek, 2015 поколения Engelse studenten. Daarin vindt u een sequentieel gebouwde … Engelstalige boeken
Серия «Leerboeken en leermiddelen»
Агабекян И.
К.П.0010
SPECIAAL
Russische Federatie als leermiddel
voor studenten van onderwijsinstellingen
middelbaar beroepsonderwijs
Rostov aan de Don «PHOENIX»
Beoordelaar: kandidaat voor wetenschappen in de filologie VS Shvedova Советник по публикациям Повалюхина Т.Ф.
Агабекян И.П.
A23 Engels voor gemiddeld speciale instellingen. Серия «Leerboeken en leermiddelen». Ростов н.в.т.: «Феникс», 2001. — 320 Мет.
Het leerboek komt overeen met de onderwijsstandaard van secundair gespecialiseerde instellingen. Bevat een introductiecursus fonetiek, een basiccursus grammatica, versterkende oefeningen, mondelinge onderwerpen en leestexten.
Для студентов фургона второго уровня gespecialiseerde instellingen.
ISBN 5-222-01564-5
ББК 81.2Анг-923
© Агабекян И.П., 2001
© Ontwerp: uitgeverij «Phoenix», 2001
INLEIDENDE FONETIC CURSUS 4
KENMERKEN VAN DE ENGELS UITSPRAAK 4
LEESREGELS 6
Kerncursus 14
VOORnaamwoorden 14
PERSOONLIJKE VOORnaamwoorden 14
BEZITTERENDE VOORnaamwoorden 15
DEACTIEVE VOORnaamwoorden 15
WOORDVOLGORDE IN ENGELS ZIN 16
VRAAG VOORnaamwoorden 17
REFLECTERENDE VOORnaamwoorden 17
NUMMERS 21
meervoud van zelfstandige naamwoorden 26
BEZITIG GEVAL VAN NOUNS 29
ONBEPAALD EN BEPAALD ARTIKEL 30
OMZET er is / er zijn 36
VERGELIJKENDE GRADEN VAN ADJECTIEVEN EN BIJWERKINGEN 43
VOORNAAMSTE VRAGEN DIE IN HET Engels Gebruikt Worden 51
Onbepaalde Voornaamwoorden Sommige, Elke, Negative Voornaamwoord n0 en hun afgeleidingen 58
Engels werkwoord tijden 60
Консолиден0003
PASSIEF 76
MODALE WERKWOORDEN EN HUN VERVANGERS 79
COMPLEXE AANVULLING 84
AANVULLENDE ZINNEN VOORWAARDEN EN TIJD, WAARVAN HET EFFECT VERBAND HOUDT MET DE TOEKOMST 86
Bijlage 1 106
teksten voor aanvullende lectuur 106
Bijlage 2 125
Extra leesteksten 125
VAN DE AUTEUR
Voor u is een leerboek ontworpen voor 4 semesters van werk in hogescholen en secundaire gespecialiseerde onderwijsinstellingen.
De субсидия может ook worden gebruikt voor voorbereidende cursussen en faculteiten extra onderwijs evenals zelfstudie. het hoofddoel voordelen — om de vaardigheden van studenten te ontwikkelen in het lezen en vertalen, extraheren, verwerken en verzenden van informatie in het Engels, en ook — om zich voor te bereiden op examens in het Engels.
De toeslag bestaat uit: introductiecursus, die een bijscholingscursus fonetiek bevat (met regels voor het lezen van letter en lettercombinaties), een baseherzieningscursus grammatica (volgens de eisen van het Engelstalige programma voor hogescholen en gespecialiseeren en secundaire indertelling onder.
Elke les van het hoofdgerecht bevat een samenvatting van grammaticaal materiaal over de vereiste secties met versterkende oefeningen. De lessen bevatten teksten om te lezen en te vertalen, die ook volledig worden gepresenteerd mondelinge onderwerpen die nodig zijn voor toelatingsexamen op universiteiten. Er wordt dus gedacht aan verplichte schoolonderwerpen, zoals: Over mezelf, Mijn werkdag, Mijn vrije dag, Mijn vriend, Reizen, Groot-Brittannië, London.
De teksten in Bijlage 1 (Мой любимый писатель, цикл страноведческих тем — Москва, США, Российская Федерация и др.) zijn bedoeld voor klassikaal en buitenschools lezen, het ontwikkelen van woordenchatvaardigheden en het overbrengen van inhoud in het Engels, даже voorbereiding op toelatingsexamens.
Bijlage 2 kan worden gebruikt voor klassikale en buitenschoolse lessen Engels, voor aanvullende en onafhankelijke lectuur.
De handleiding is een aanvulling op Bijlage 3, die een lijst bevat van de meest voorkomende bijwoorden en een tabel met onregelmatige werkwoorden.
вел гелук!
INLEIDENDE CURSUS FONETIEK
KENMERKEN VAN DE ENGELS UITSPRAAK
Als gevolg van Complexe Historische ontwikkeling van de Engelse taal en het schrift, ontseentond er een woing de graving disrepanttie tussen. Dit leidde tot een systeme van speciale opname van het geluidsbeeld van woord — фонетическая транскрипция. Het kennen ван Trancipietekens является де sleutel tot juiste lezing en uitspraak ван het woord.
9[0003
Transcriptiepictogrammen voor geluiden staan tussen vierkante haken:
a) klinkers
Lang
й [i] — kort, open en
[e] — e in woorden deze, deze 32 -ge32 meer open dan e
[a:] — lang, diep a
[o] — kort, open over
[e:] — lang uit
[o] — gesloten, dicht bij y geluid o
[ en] — korte y met een lichte ronding van de lippen
[l] — een korte klinker die de Russische a in woorden nadert koken, schelden
[h] — een onbeklemtoonde klinker, die doet denken aan een Russische onbeklemtoonde klinker in de woorden: een hamer nodig
[e:] — afwezig in het engussen, mid en entussen,
b) tweeklinkers (tweeklanken)
wah
c) medeklinkers
[w] — een geluid gevormd met de positie van de lippen, zoals bij b, maar met een klein gaatje tussen de lippen, zoals bij en fluitje 900 , waarvan de punt tussen de voortanden is geplaatst, zoals in een lispelende Rus
[t] — t, niet uitgesproken bij de tanden, maar bij het tandvlees
[d] — d, niet uitgesproken bij de tanden, maar bij het tandvlees
[g] — het geluid wordt van heluid het uitdergesproning puntje van de tong, in tegenstelling tot de Russische р
[J] — zachte Russische sh
[h] — zachte Russische f in het word teugel — stemhebbende h
rugged n, 900ken 90 de 00 in ван де тонг
[h] — eenvoudige uitademing
Sommige English medeklinkers hebben dubbele lezingen, комбинации van twee medeklinkers kunnen één medeklinker overbrengen, en 6 klinkers brengen 20 klinkers over, afhankelijk van de positie van danwotto de klinker in het van het type lettergreep (открытый от gesloten).
