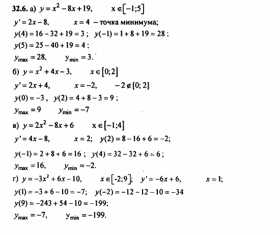
- ГДЗ § 25 25.10 алгебра 11 класс учебник, задачник Мордкович, Денищева – Telegraph
- Контрольные работы в 11 классе по алгебре, Мордкович за 1, 2, 3, 4 четверти.
- Поиск материала «ГДЗ по алгебре, 11 класс, 2014, К учебнику по алгебре за 11 класс, Глизбург В.И., 2009» для чтения, скачивания и покупки
- 8 sinf алгебра javablari ответы
- Алгебра и элементы математического анализа — Мордкович А.
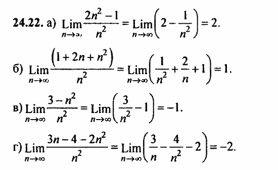
- Определение корня энной степени. Понятие n-го корня вещественного числа Понятие корня вещественного числа
ГДЗ § 25 25.10 алгебра 11 класс учебник, задачник Мордкович, Денищева – Telegraph
➡➡➡ ПОДРОБНЕЕ ЖМИТЕ ЗДЕСЬ!
ГДЗ § 25 25.10 алгебра 11 класс учебник, задачник Мордкович, Денищева
Алгебра 11 класс . Задачник (Профильный уровень) . Мордкович , Денищева, Звавич . Мнемозина . Не имеет особого значения ГДЗ по алгебре 11 класс Мордкович поможет успешно справляться с текущими заданиями по предмету и лучше понимать все его аспекты .
Мордкович алгебра 10 11 класс — один из самых распространенных зосов в сети . Это и неудивительно . Помимо самих книг, существуют и решебники или так называемые гдз (готовые домашние задания) . Алгебра 11 класс Мордкович гдз можно скачать у нас на сайте .
Решебник (ГДЗ ) по Алгебре за 11 (одиннадцатый ) класс учебник и задачник авторы: Мордкович , Семенов, Денищева, Звавич издательство Мнемозина, 2019 год, Базовый и углубленный уровень, часть Учебник и Задачник Базовый и углубленный уровень (часть 1, 2) .
ГДЗ задачник по алгебре за 11 класс Мордкович , Денищева ФГОС часть 2 Базовый и углубленный уровень . 11 класс – это очень серьезное время для школьников — последний год обучения в школе . Ученик становится выпускником, многие поступают в университеты, чтобы . .
Учебник по алгебре автора Мордкович Семенов 11 класс вызывает наибольшие затруднения у школьников 11 класса . Многие справляются с ним легко, другие же не могут обойтись без готовых домашних заданий по этому учебнику . Давно ищете ГДЗ Мордковича 11 класс . .
Главная ГДЗ 11 класс Алгебра Мордкович . Если сомневаетесь, стоит ли школьникам пользоваться ГДЗ по алгебре 10–11 класс Мордкович, то подумайте – многим ли в жизни пригодились школьные знания по основам матанализа, комбинаторики или тригонометрии?
Онлайн решебник задачник по Алгебре для 11 класса Мордкович А .Г ., Денищева О .Л ., Звавич Л .И ., гдз и ответы к домашнему заданию . ГДЗ к учебнику по алгебре 10-11 класса Базовый уровень Мордкович можно скачать здесь .
10 класс . Задания 1-983 . Мордкович А . Г ., Денищева Л . О ., Корешкова Т . А ., Мишустина Т . Н ., Тульчинская Е . Е . Ответы к сборнику задач по алгебре и началу анализа для 10-11 класса Мордкович . Алгебра и начала математического анализа . 10-11 класс . Часть 2 . Задачник . стр . решебника 25 .
ГДЗ по алгебре за 10 и 11 класс заданик Мордковича . Решебник к части 2 . Данным учебником старшеклассники завершают изучение основного общеобразовательного курса . Элементы математической статистики, комбинаторики и теории (Задания с 50 .1 по 54 .25) .
Решение задания номер 25 .10 . Открыть номер 25 .10 с телефона . Нужно к другому учебнику (номера 1-1880)? Введите номер задания
11 класс . А45 В 2 ч . Ч . 2 . Задачник для учащихся общеобразовательных учреждений издание Мордкович Александр Григорьевич, Денищева Лариса Олеговна, Звавич Леонид Исаакович и др . 10—11 классы / авт .-сост . И . И . Зубарева, А . Г . Мордкович ; А . Г . Мордкович . 11 класс .
В 2 ч . Ч . 1 . Учебник ; А . Г . Мордкович и др . Алгебра и начала математического анализа .
Смотрите онлайн задачник по алгебре и началу математического анализа за 10-11 класс — авторы Мордкович , Денищева, Корешкова, Мишустина Книгу удобно использовать на уроке, в задачнике содержится: 10 глав, 60 параграфов, 275 страниц со всеми задачами и упражнениями .
Иллюстрации к книге Мордкович , Семенов — Алгебра . 10-11 классы . Учебник . Алгебра . 10-11 класс . Мордкович А .Г . Базовый уровень . Мордкович , Денищева, Корешкова . Мнемозина: Математика . Круглосуточная поддержка . +7 499 920-95-25 . Скопировать номер . Соединить с оператором .
Авторы: Мордкович А .Г ., Денищева Л .О ., Корешкова Т .А . Мишустина Т .Н ., Тульчинская Е .Е . Мнемозина, 2001-2003-2007 . Онлайн ответы из решебника по алгебре за 11 класс авторов Мордкович А .Г ., Денищевой Л .О ., Мишустиной Т .Н . 2007 года издания .
Разбор заданий из задачника алгебры за 10-11 класс автора Мордкович .
§25 . Сумма бесконечной геометрической прогрессии . Решения упражнений и примеров из учебника собраны в ГДЗ или решебнике по алгебре 11 класса Мордкович с объяснением .
Алгебра 11 класс . Задачник (Профильный уровень) . Мордкович , Денищева, Звавич . Мнемозина . Не имеет особого значения ГДЗ по алгебре 11 класс Мордкович поможет успешно справляться с текущими заданиями по предмету и лучше понимать все его аспекты .
Мордкович алгебра 10 11 класс — один из самых распространенных зосов в сети . Это и неудивительно . Помимо самих книг, существуют и решебники или так называемые гдз (готовые домашние задания) . Алгебра 11 класс Мордкович гдз можно скачать у нас на сайте .
Решебник (ГДЗ ) по Алгебре за 11 (одиннадцатый ) класс учебник и задачник авторы: Мордкович , Семенов, Денищева, Звавич издательство Мнемозина, 2019 год, Базовый и углубленный уровень, часть Учебник и Задачник Базовый и углубленный уровень (часть 1, 2) .
ГДЗ задачник по алгебре за 11 класс Мордкович , Денищева ФГОС часть 2 Базовый и углубленный уровень .
11 класс – это очень серьезное время для школьников — последний год обучения в школе . Ученик становится выпускником, многие поступают в университеты, чтобы . .
Учебник по алгебре автора Мордкович Семенов 11 класс вызывает наибольшие затруднения у школьников 11 класса . Многие справляются с ним легко, другие же не могут обойтись без готовых домашних заданий по этому учебнику . Давно ищете ГДЗ Мордковича 11 класс . .
Главная ГДЗ 11 класс Алгебра Мордкович . Если сомневаетесь, стоит ли школьникам пользоваться ГДЗ по алгебре 10–11 класс Мордкович, то подумайте – многим ли в жизни пригодились школьные знания по основам матанализа, комбинаторики или тригонометрии?
Онлайн решебник задачник по Алгебре для 11 класса Мордкович А .Г ., Денищева О .Л ., Звавич Л .И ., гдз и ответы к домашнему заданию . ГДЗ к учебнику по алгебре 10-11 класса Базовый уровень Мордкович можно скачать здесь .
10 класс . Задания 1-983 . Мордкович А . Г ., Денищева Л . О ., Корешкова Т . А .
, Мишустина Т . Н ., Тульчинская Е . Е . Ответы к сборнику задач по алгебре и началу анализа для 10-11 класса Мордкович . Алгебра и начала математического анализа . 10-11 класс . Часть 2 . Задачник . стр . решебника 25 .
ГДЗ по алгебре за 10 и 11 класс заданик Мордковича . Решебник к части 2 . Данным учебником старшеклассники завершают изучение основного общеобразовательного курса . Элементы математической статистики, комбинаторики и теории (Задания с 50 .1 по 54 .25) .
Решение задания номер 25 .10 . Открыть номер 25 .10 с телефона . Нужно к другому учебнику (номера 1-1880)? Введите номер задания
11 класс . А45 В 2 ч . Ч . 2 . Задачник для учащихся общеобразовательных учреждений издание Мордкович Александр Григорьевич, Денищева Лариса Олеговна, Звавич Леонид Исаакович и др . 10—11 классы / авт .-сост . И . И . Зубарева, А . Г . Мордкович ; А . Г . Мордкович . 11 класс . В 2 ч . Ч . 1 . Учебник ; А . Г . Мордкович и др . Алгебра и начала математического анализа .
Смотрите онлайн задачник по алгебре и началу математического анализа за 10-11 класс — авторы Мордкович , Денищева, Корешкова, Мишустина Книгу удобно использовать на уроке, в задачнике содержится: 10 глав, 60 параграфов, 275 страниц со всеми задачами и упражнениями .
Иллюстрации к книге Мордкович , Семенов — Алгебра . 10-11 классы . Учебник . Алгебра . 10-11 класс . Мордкович А .Г . Базовый уровень . Мордкович , Денищева, Корешкова . Мнемозина: Математика . Круглосуточная поддержка . +7 499 920-95-25 . Скопировать номер . Соединить с оператором .
Авторы: Мордкович А .Г ., Денищева Л .О ., Корешкова Т .А . Мишустина Т .Н ., Тульчинская Е .Е . Мнемозина, 2001-2003-2007 . Онлайн ответы из решебника по алгебре за 11 класс авторов Мордкович А .Г ., Денищевой Л .О ., Мишустиной Т .Н . 2007 года издания .
Разбор заданий из задачника алгебры за 10-11 класс автора Мордкович . §25 . Сумма бесконечной геометрической прогрессии . Решения упражнений и примеров из учебника собраны в ГДЗ или решебнике по алгебре 11 класса Мордкович с объяснением .
ГДЗ § 7 2 обществознание 6 класс рабочая тетрадь Хромова, Кравченко
ГДЗ Учебник 2019 / часть 2 456 (1305) математика 5 класс Виленкин, Жохов
ГДЗ 5 глава 5.119 химия 8 класс задачник Кузнецова, Левкин
ГДЗ часть №1 / номер 58 русский язык 2 класс Канакина, Горецкий
ГДЗ контрольные работы / КР-2 / вариант 2 2 алгебра 9 класс дидактические материалы Потапов, ШевкинВ
ГДЗ проверь себя 19 русский язык 4 класс рабочая тетрадь учусь писать без ошибок Кузнецова
ГДЗ § 19 19.10 алгебра 8 класс Мерзляк, Поляков
ГДЗ упражнение 140 русский язык 6 класс рабочая тетрадь Тростенцова, Дейкина
ГДЗ часть 2 274 математика 4 класс ИстоминаБ
ГДЗ страница 8 окружающий мир 4 класс проверочные и диагностические работы Потапов, Калинина
ГДЗ по английскому языку 3 класс Быкова, Дули Spotlight Решебник
ГДЗ вправа 1 украинский язык 6 класс Заболотный, Заболотный
ГДЗ §9. Династический кризис 1825 г. 4 история 8 класс История России 19 века Данилов, Косулина
ГДЗ страница 69 английский язык 4 класс рабочая тетрадь Spotlight Быкова, Эванс
ГДЗ номер 743 алгебра 9 класс Никольский, Потапов
ГДЗ страница 45 немецкий язык 7 класс рабочая тетрадь Бим, Садомова
ГДЗ часть 2 / упражнение 101 русский язык 4 класс Желтовская, Калинина
ГДЗ итоговое повторение / неравенства и системы неравенств 87 алгебра 9 класс Задачник Мордкович
ГДЗ номер 251 математика 5 класс Дорофеев, Шарыгин
ГДЗ упражнение 527 русский язык 3 класс Нечаева, Яковлева
ГДЗ часть 2.
страница 87 математика 3 класс Дорофеев, Миракова
ГДЗ упражнение 162 алгебра 7 класс Муравин, Муравин
ГДЗ часть №1 443 математика 6 класс Петерсон, Дорофеев
ГДЗ тема 2 / параграф 9 / вопросы и задания 1 география 9 класс Алексеев, Низовцев
ГДЗ упражнение 146 русский язык 7 класс Бунеев, Бунеева
ГДЗ параграф Итоговые вопросы к курсу история 9 класс рабочая тетрадь Сороко-Цюпа, Сороко-Цюпа
ГДЗ вправа 277 украинский язык 7 класс Заболотный, Заболотный
ГДЗ вводный вопрос / §31 8 алгебра 9 класс Колягин, Ткачева
ГДЗ приложение 3.46 алгебра 7 класс задачник Мордкович
ГДЗ упражнение 206 русский язык 7 класс Бунеев, Бунеева
ГДЗ упражнение 255 русский язык 7 класс Баранов, Ладыженская
ГДЗ глава 25 25.29 химия 8‐11 класс сборник задач и упражнений Хомченко
ГДЗ упражнение 462 русский язык 10‐11 класс Гольцова, Шамшин
ГДЗ страница 68 английский язык 4 класс Цуканова, Фатнева
ГДЗ § 13 13.44 алгебра 11 класс учебник, задачник Мордкович, Денищева
ГДЗ часть 1.
страница 73 математика 6 класс Козлова, Рубин
ГДЗ часть 1 97 окружающий мир 3 класс Плешаков, Крючкова
ГДЗ unit 2 / ex. 65 английский язык 10 класс Enjoy English Биболетова, Бабушис
ГДЗ часть 1 (страница) 82 окружающий мир 3 класс рабочая тетрадь Плешаков
ГДЗ страница 16 математика 4 класс тесты и самостоятельные работы для текущего контроля Нефёдова
ГДЗ самостоятельная работа / самостоятельная работа №13 / вариант 1 4 алгебра 7 класс дидактические материалы Феоктистов
ГДЗ часть 2 87 математика 3 класс Истомина
ГДЗ номер 387 физика 7‐9 класс сборник задач Лукашик, Иванова
ГДЗ глава 3 / § 11 / вариант 2 17 алгебра 10 класс дидактические материалы Шабунин, Ткачева
ГДЗ параграф 14 4 алгебра 8 класс рабочая тетрадь Мерзляк, Полонский
ГДЗ задачи на повторение, задача 1 алгебра 10 класс задачник Мордкович, Денищева
ГДЗ упражнение 1560 алгебра 10‐11 класс Алимов, Колягин
ГДЗ упражнения / упражнение 3 1 физика 7 класс Перышкин
ГДЗ номер 445 физика 7‐9 класс Сборник задач Перышкин
ГДЗ задание 931 математика 5 класс Никольский, Потапов
ГДЗ По Английскому 10 Класс Михеева
ГДЗ урок Урок 33 математика 1 класс рабочая тетрадь МуравинаВ
ГДЗ По Математике 8кл Мерзляк
Решебник Математика 3 Класс Учебник Аргинская
Русский Язык 2 Виноградова Учебник ГДЗ
Контрольные работы в 11 классе по алгебре, Мордкович за 1, 2, 3, 4 четверти.
{\frac{17}{10}}$.3. $y=(-\frac{1}{128}+196608)x-8194+\frac{1}{2048}$.
4. $\frac{255}{1792}$.
5. $\frac{b-4}{b(b-2)}$.
Ответы на контрольную работу №4 «Показательная и логарифмическая функция. Показательные уравнения и неравенства»
Вариант I
1.
а)
б)
2. 1.
3. $(-∞;-3)U(6;+∞)$.
4. 3,5.
5. $log_46$.
6. $x≥1$.
Вариант II
1.
а)
б)
2. 1.
3. $(-∞;-4)U(4;+∞)$.
4. $\frac{16}{3}$.
5. 0.
6. $х≤1$.
Ответы на контрольную работу №5 «Логарифмические уравнения и неравенства. Дифференцирование показательной и логарифмической функции»
Вариант I
1. а)0,25 и 256; б) 3.
2. $(-\frac{1}{3}$; $\frac{2}{3})$.
3. $-\frac{7}{3}$ — точка минимума.
4. (1;1).
5. $y=\frac{x}{4e}$.
Вариант II
1. а) 19681; б) 10.
2. $x>7$.
4. (-3;1).
5. $y=\frac{4x}{e}$.
Ответы на контрольную работу №6 «Уравнения и неравенства с одной переменной»
Вариант I
1.
{k}arcsin(\frac{(3-\sqrt{13}}{2})+πn$.
2. $(-\frac{2}{3};2,5)U(10;+∞)$.
3. $(-∞;-1,5]U[1;+∞)$.
4. $x=3+3n$.
Вариант II
1. а) $\frac{-3+\sqrt{29}}{2}$; б) $\frac{π}{2}+πn$.
2. (3;8).
3. $(-∞;-4]U[0;+∞)$.
4. $[-3+12n;-1+12n]U[1+12n;3+12n]$.
Поиск материала «ГДЗ по алгебре, 11 класс, 2014, К учебнику по алгебре за 11 класс, Глизбург В.И., 2009» для чтения, скачивания и покупки
Ниже показаны результаты поиска поисковой системы Яндекс. В результатах могут быть показаны как эта книга, так и похожие на нее по названию или автору.
Search results:
- Решебник к сборнику контрольных работ по алгебре для 11…
Контрольные работы для 11 класса общеобразовательных учреждений (профильный уровень) / В. И. Глизбург ; под ред. А. Г. Мордковича. — М. : Мнемозина, 2008. — 55 с.» Сборник контрольных работ предназначен для тех учителей математики, которые используют в своей преподавательской деятельности УМК, созданный авторским коллективом под руководством А.
Г. Мордковича для изучения в 11-м классе профильной старшей школы курса алгебры и начал анализа.
gdz.math-helper.ru
- Решебник к сборнику контрольных работ по алгебре для 11…
Решения контрольных работ по алгебре и началам анализа из сборника для 11 класса Глизбург В. И. (под ред. А.Г. Мордковича). Базовый уровень. — Рукопись. — 2015. Настоящее пособие содержит решения контрольных работ из сборника «Глизбург В. И. Алгебра и начала математического анализа. 11 класс. Контрольные работы для учащихся общеобразовательных учреждений (базовый уровень) / В. И. Глизбург ; под ред. А. Г. Мордковича.
gdz.math-helper.ru
-
Купить эту книгу
КанцтоварыКанцтовары: бумага, ручки, карандаши, тетради. Ранцы, рюкзаки, сумки. И многое другое.
my-shop.
ru- ГДЗ (решебник) Алгебра и начала математического анализа 11…
Решения заданий из учебного пособия Алгебра и начала математического анализа. 11 класс. Контрольные работы. Глизбург В.И., изд. 2009г. Решения заданий из учебного пособия Алгебра и начала.
Автор: Глизбург. Год: 2014. Для учеников: 11 класс. Язык учебника: Русский. Формат: PDF. Страниц: 37.
11klasov.net
- Решебник к сборнику контрольных работ по алгебре для 11…
— 2015. Настоящее пособие содержит решения контрольных работ из сборника «Глизбург В. И. Алгебра и начала математического анализа. 11 класс. Контрольные работы для учащихся общеобразовательных учреждений (базовый уровень) / В. И. Глизбург ; под ред. А. Г. Мордковича.
Пособие предназначено для проведения контрольных работ в 10-х классах с углубленным изучением алгебры и математического анализа по учебнику А.
Г. Мордковича и П. В. Семенова. В сборнике приведены работы в шести вариантах по всем темам курса.gdz.math-helper.net
- Решения Глизбург 11 класс алгебра
Читать Алгебра 10-11 класс Алимов онлайн. задачник Мордковича по алгебре «профильный уровень» 10 класс 2009. Потапов, Шевкин дидактические материалы 10 класс алгебра и начала математического анализа 2017.
ГДЗ (решебник, ответы) Алгебра Начало Анализа Самостоятельные и контрольные 10 класс Ершовой, Голобородько. Читать ГДЗ для 11 классов по решению самостоятельных и контрольных работ по алгебре и началам анализа для учебного пособия под ред. Ивлева Б.М., Саакян С.М., Шварцбурда С.И.
gdz-online.ws
- ГДЗ Контрольные работы по Алгебре 11 класс Глизбург Базовый…
ГДЗ решебник Алгебра 11 класс контрольные работы Базовый и Углубленный уровень Глизбург В.
И. Мнемозина 2016 ФГОС с ответами онлайн бесплатно!Изучение алгебры в 11 классе является одной из главных задач. Это связано с тем, что в современных программах обучения в качестве обязательного элемента вводятся элементы математического анализа. Поэтому некоторые ученики сталкиваются с проблемами в построении алгоритма решения алгебраических задач, в установлении связи между числовыми и алгебраическими выражениями.
gdz.moda
- ГДЗ: Алгебра 10-11 класс Глизбург В.И. — Контрольные работы
«ГДЗ по алгебре за 10-11 класс, контрольные работы, Глизбург (Мнемозина)» входит в комплекс полезной для школьников литературы. Он также состоит из оригинального учебника и сборника заданий различного уровня сложности. Если подросток серьезно отстал от своих сверстников, а теперь взялся за ум и искренне желает исправить оценки по предмету, то ему это удастся с помощью готовых домашних заданий.

gdzbezmoroki.com
- Алгебра и начала математического анализа. 11 класс.
В пособии приведено примерное тематическое планирование курса алгебры и начал математического анализа для 11 класса (профильного уровня) и контрольные работы в шести вариантах по всем темам курса. Каждая работа имеет три уровня сложности. Рубрика: Алгебра / 11 класс. Автор: Глизбург В.И. Год: 2013,2008.
11klasov.net
- ГДЗ решебник по алгебре 10-11 класс Глизбург…
Если подросткам крайне тяжело дается изучение этого предмета, то им следует обратить свое внимание на «ГДЗ по алгебре за 10-11 класс, контрольные работы, Глизбург (Мнемозина)». В этом справочнике они найдут развернутые правильные ответы на интересующие их вопросы. А если ученик ни разу не использовал материалы готовых домашних заданий, то ему следует знать о том, что работать с данным комплексом нужно точно так же, как и с любым другим методическим пособием.

spishi.ltd
- Алгебра и начала математического анализа. 11 класс.
В пособии приведено примерное планирование курса алгебры и начал математического анализа для 11-го класса (базового уровня) и Контрольные работы в четырех вариантах по всем темам курса. Каждая работа имеет три уровня сложности. Рубрика: Алгебра / 11 класс. Автор: Глизбург В.И. Год: 2009.
11klasov.net
- Решебник к сборнику самостоятельных работ по алгебре…
Решение самостоятельных работ по алгебре и началам математического анализа из сборника для 11 класса Александровой Л. А. Рукопись. — 2014. Настоящее пособие содержит решения самостоятельных работ из сборника «Александрова Л. А. Алгебра и начала математического анализа.
gdz.math-helper.ru
- Мегарешеба — ГДЗ и решебники по Алгебре
за 11 класс онлайнДобро пожаловать на мегарешеба — с лучшими ГДЗ по Алгебре за 11 класс.
Здесь Вы найдете готовые ответы на домашнюю работу. Смотрите решения и получайте пятерки.Издательство: Дрофа 2018. Тип: Углубленный уровень ФГОС. Алгебра 11 класс контрольные работы. Автор: Глизбург В.И. Издательство: Мнемозина 2016-2019. Тип: Базовый и углубленный уровень ФГОС. Алгебра 11 класс. Авторы: Мерзляк А.Г. Номировский Д.А.
megaresheba.net
- ГДЗ Контрольные работы по Алгебре 10 класс Глизбург (к учеб.)
ГДЗ решебник Алгебра и начала математического анализа 10 класс Контрольные работы Глизбург В.И. Мнемозина 2014 ФГОС с ответами онлайн бесплатно!
Отличным помощником при подготовке к написанию контрольных работ может служить ГДЗ по алгебре и начала математического анализа автор Глизбург В.И. Решебник соответствует всем требованиям общеобразовательного стандарта и школьной программы общего среднего образования.
gdz.
moda - ГДЗ для 11 класса — Алгебра
По окончанию школы учащимся одиннадцатых классов предстоит столкнуться с настоящим испытанием в виде ЕГЭ. Проверка знаний проводится практически по всем основным предметам и алгебра не исключение. Чтобы обеспечить высокое количество баллов и избежать проблем во время экзамена, ребятам необходимо как следует подготовиться и вспомогательная литература, к числу которой относятся «ГДЗ по Алгебре 11 класс», поможет сделать это в лучшем виде.
gdzbezmoroki.com
- Мегарешеба —
ГДЗ по Алгебре за 11 класс Мордкович…Убедись в правильности решения задачи вместе с ГДЗ по Алгебре за 11 класс Мордкович А.Г., Денищева О.Л., Звавич Л.И. Учебник, Задачник Базовый и углубленный уровень часть 1, 2. Ответы сделаны к книге 2016-2020 года от Мнемозина ФГОС.
ГДЗ к задачнику по алгебре 10-11 класса Базовый уровень Мордкович можно посмотреть тут.megaresheba.net
- Решебник Алгебра и начала математического анализа 11 класс…
ГДЗ Мордковича 11 класс ежедневно пополняется новыми ответами от учеников и постоянно совершенствуется, чтобы вы всегда могли найти нужный ответ за самое короткое время. Решебник Мордкович 11 класс прекрасно адаптиврован для мобильных телефонов, так что вы сможете использовать его даже во время урока. Но всё же основной задачей решебника является — не чистое списывание, а помощь в решении домашнего задания в 11 классе, так как знания вам еще пригодятся при решении егэ по математике.
reshak.ru
- ГДЗ по алгебре 11 класс, Мордкович А. Г., Учебник (Часть 1, 2)
11 класс. Дримскулnew.
Физика new. Английский. Алгебра. Русский язык. Геометрия.11. Авторы: Мордкович А. Г., Семенов П. В. Тип: Учебник (Часть 1, 2). Издание: Мнемозина. Год издания: 2020 г.
resh.skysmart.ru
- ГДЗ и решебники Алгебра 11 класс для всех школьных…
Класс — время ГДЗ и решебников по математике. После последнего года обучения ученики должны сдавать Единый Государственный Экзамен. Предметы для поступления одиннадцатиклассники выбирают самостоятельно, а вот обязательные предметы неизменные – русский и математика. Если с русским языком всё более менее понятно, то при упоминании математики возникают некоторые вопросы и несовпадения. С седьмого класса данный предмет разделяется на две отрасли – алгебра и геометрия.
GDZ.pub
- Решебники ГДЗ по алгебре 11 класс
На данной странице представлены решебники по алгебре за весь школьный курс 11 класса.
Решебники включают в себя решение задач, как повышенной сложности, так и самые простые. Использование данных решебников и гдз 11 класса позволит Вам обрести больше свободного личного времени и сократит время выполнения домашнего задания по алгебре. Важной составляющей решебников является наличие онлайн версии гдз, что позволяет работать с ним в любое время суток.reshak.ru
- ГДЗ к учебникам и тетрадям по Алгебре за 11 класс.
Почему стоит начать пользоваться онлайн-решебником по алгебре за 11 класс. ГДЗ – это отличное подспорье, которое поможет выпускникам разобраться со всеми сложными моментами понимания тематического материала, а также как следует подготовиться к предстоящей в конце года итоговой аттестации. Страницы решебника содержат досконально расписанные верные ответы к каждому заданию учебника.
gdz.
moda - Самостоятельные и контрольные работы. Алгебра и начала…
Комплект из 42 самостоятельных и 4 контрольных работ для проверки усвоения знаний по курсу алгебры и начал математического анализа для УМК А.Г.Мордковича, 11 класс (базовый уровень). Источники материала: 1. Александрова Л.А. Алгебра и начала математического анализа. 11 класс. Самостоятельные работы для учащихся общеобразовательных учреждений. 2. Глизбург В.И.. Алгебра и начала математического анализа.
easyen.ru
- Готовые самост. и контр. по Алгебре 11 класс… | Супер Решеба
Шпаргалки к экзаменам. 11 класс Решебник по Алгебре Алгебра. Алгебра 11 класс. Самостоятельные и контрольные.
superresheba.by
- ГДЗ (решебник) к учебнику Мерзляк А.Г. и др. Алгебра 11 класс.
..Домашняя работа (решения, гдз, отвыты) по алгебре и началам анализа за 11 класс к учебнику авторов А.Г. Мерзляк, В.Б. Полонский, М.С. Якир. «Алгебра и начала математического анализа 11 класс : учебник для учащихся общеобразовательных организаций (профильный уровень)». В пособии решены и в большинстве случаев подробно разобраны задачи и упражнения из учебника «Мерзляк А.Г. Алгебра и начала математического анализа: 11 класс.
gdz.math-helper.ru
- ГДЗ: алгебра 11 класс колягин, ткачева — учебник
Главная Готовые домашние задания. Главная ГДЗ 11 класс Алгебра ГДЗ: Алгебра 11 Класс Колягин, Ткачева — Учебник.
Алгебра 11 класс. Тип пособия: Учебник. Авторы: Колягин, Ткачева. Издательство: «Просвещение». Глава 1. Задания.
spishi.ltd
- Решебник по алгебре Алимов 10-11 класс
Помощь в изучении алгебры.
В 10 и 11 классах ученики испытывают наибольший стресс за весь период обучения в школе.Справочное пособие «ГДЗ к учебнику по алгебре для 10-11 классов Алимов Ш.А. (Просвещение)» будет полезно абсолютно всем ученикам старших классов, поскольку практически каждый из них имеет пробелы в знании предмета. Тем же, кто испытывает очень большие сложности по дисциплине, при правильном подходе ресурс может заменить репетитора, что позволит сэкономить значительные средства.
reshak.ru
- Решебник по алгебре за 11 класс Арефьева, ГДЗ 2020
Подробный решебник по алгебре для 11 класса, авторов Арефьева, Пирютко, 2020 года издания. Ответы ко всем заданиям на Решеба.
К каждому заданию предложено подробное решение от действующего преподавателя алгебры. Пособие разбито на 3 главы, а в конце имеются упражнения для повторения изученного материала.
Первая глава посвящена правильному вычислению степеней с рациональным показателем, а вторая и третья больше внимания уделяет задачам с функциями, основанными на показателях и логарифмах.resheba.top
- ГДЗ (решебник) Алгебра и начала математического анализа 11…
Решебник, ГДЗ, Решения заданий из «Алгебра и начала математического анализа. 11 класс. Контрольные работы.» Глизбург В.И. Готовые домашние задания, ответы и решения.
uchebniki.alleng.me
- ГДЗ (решебник) к учебнику Мерзляк А.Г. и др. Алгебра 11 класс…
Домашняя работа (решения, гдз, отвыты) по алгебре и началам анализа за 11 класс к учебнику авторов А.Г. Мерзляк, В.Б. Полонский, М.С. Якир. «Алгебра и начала анализа 11 класс : учебник для учащихся общеобразовательных организаций (базовый уровень)».
В пособии решены и в большинстве случаев подробно разобраны задачи и упражнения из учебника «Мерзляк А.Г., Номировский Д.А., Полонский В.Б., Якир М.С. Алгебра и начала математического анализа: 11 класс.gdz.math-helper.ru
- ГДЗ Дидактические материалы по Алгебре 11 класс Шабунин…
В связи с этим очень кстати будет воспользоваться услугами ГДЗ по алгебре 11 класс дидактические материалы базовый уровень автор Шабунин, которые помогут расширить знания и усовершенствовать навыки по выполнению практических заданий.
Алгебра – один из основных компонентов математического образования, она нужна для углубленной подготовки к продолжению образования и способствует развитию логического мышления, формированию умений пользоваться алгоритмами, подготовкой к изучению других дисциплин.
gdz.moda
- Глизбург В.
И. Алгебра и начала анализа. Контрольные работы…Мордкович А. Г. Алгебра и начала математического анализа. 10—11 классы. В 2 ч. Ч. 2. Задачник (базовый уровень). Издательство: Мнемозина. Год: 2009. Страниц: 239. Предлагаемый задачник по курсу «Алгебра и начала математического анализа» в 10—11-м классах (базовый уровень) соответствует одноименному учебнику.
Под ред. А. Н. Колмогорова. Пособие будет полезно родителям, которые смогут проконтролировать правильность решения, а в случае необходимости помочь детям в выполнении домашней работы по алгебре и…
www.studmed.ru
- Решебник к сборнику задач по Алгебре 11 класс… | Супер Решеба
Решебник к новому сборнику задач по алгебре для 11 класса 2020 года издания с примерами решений заданий для базового и повышенного уровня.
superresheba.by
- Глизбург.
ГДЗ (решебник) Алгебра и начала математического…На сайте «Глубинная психология: учения и методики» представлены статьи, направления, методики по психологии, психоанализу, психотерапии, психодиагностике, судьбоанализу, психологическому консультированию; игры и упражнения для тренингов; биографии великих людей; притчи и сказки; пословицы и поговорки; а также словари и энциклопедии по психологии, медицине, философии, социологии, религии, педагогике. Все книги (аудиокниги), находящиеся на нашем сайте, Вы можете скачать бесплатно без всяких платных смс и даже без регистрации.
www.psyoffice.ru
На данной странице Вы можете найти лучшие результаты поиска для чтения, скачивания и покупки на интернет сайтах материалов, документов, бумажных и электронных книг и файлов похожих на материал «ГДЗ по алгебре, 11 класс, 2014, К учебнику по алгебре за 11 класс, Глизбург В.И., 2009»
Для формирования результатов поиска документов использован сервис Яндекс.
XML.
Нашлось 20 млн ответов. Показаны первые 32 результата(ов).
Дата генерации страницы:
8 sinf алгебра javablari ответы
07-10-2022 Она тили 5-синф. Саволлар китоби. Тиль – иджтимоий ходиса – Бош сахифа. 6 sinf tarix darslik kitobi скачать. Oquv materiallari yuklab olish ipb. Петерсон 6-синф математика pdf. 5-синф адабиёт савол джавоб -. 1 английский язык для видео дарслик. 7 sinf ingliz tili 1 chorak testlari. 9-синф адабийот дарслиги 2-кисм. Онлайн мактаб 5-8 синфлар учун -. Komikslar dan rasmlar yuklab olish. Darslik matematika sinf 6. алгебра ответы sinf 8 javoblari. она тили дарслик 5-синф. 4 синф она тили 24 машк джавоби -. 11-синф тарбия дарслик скачать. 8-синф иктисод назорат иши -. узбекистон республикаси кишлок джойларида мулькдорлар синфини шаклантыриш. Биология фанидан назорат ишлари топлами 5-синф Сана Назорат. Проекция йоналтириш. «II 8-синф» мавзусида дарс (8-синф.
тарикс фанидан барча синфлар учун тестлар топлами |. 1-синф агли заиф болалар учун математика дарс исланмаси.. Юклаб олыш 8-синф, Мордкович дастури алгебра иш бепул. 11-синф Узбекистон tarixi.Umumiy testlar — Hämta Apk.1,2,3,4 sinfga sherlar — Рейтинг каналов Telegram.musiqa 6 sinf — musiqa 6 sinf.11 sinf информатика 1- chorak test javoblari — matematika darslik sinf 1 qismi 2 demidova yuklab olish. ericsson.1-синф дарс джадвали -.дарс исланма 1 синф она тилида.6 синф адабиёт — 6 синф адабиёт.математика 5 синф дарслик явоблари.11 синф соати конспекти.-мавзу(26 та)-10-синф джахон тарихи 2017-йил дарслик асосида.7 синф физика масалалар ечими.6-синф она тили тест — -.7 синф биология китоби скачать pdf.примеры дезинфицирующее значение — примеры дезинфицирующее значение.6 синф тарикс китоби.10-синф она тили 2-кизм pdf.5- синф рус тили явоблари.Хайр Синфдош Бугун Кузда Йоу Бунёд Саидов Шахзод.10-синф математика 2-чорак тест.
6 ошибок tarix javoblari
Айс 003 синф б юклаб олыш.
Юклаб 11-синф учун бепул. . диктантлар топлами 1-4 синф pdf. . boshlangich sinflarda matematik masalalarni oqitish usullari. . Скачать Физика 11-sinf APK -. . Талим муассасалари синф рахбари то`г`рисида Низом – Узбек. . 7-синф Жахон тарихи (28-мавзу) | История — Викторина. . Peterson sinf matematika 4 3 qismi reshebnik -. . Экология мавзуси ва биз. Синф соат «Экология ва биз». . Жисмоний тарбия 5 синф — Узбекистан, Ташкент -. . Бошлагыч синфларда соз бирикмаси ва гэп -. . 10-sinf информатика тест savollari ва javoblari. .
иктисодийот 8-сын учун тестлар, 4-сынф рус тили дарс исланма,11-синф информатика назорат иши китоби — адабиёт иншолар топлами 11 синф кимё 8 синф китоб 4-синф тест саволлари — Жахон тарихи 10 синф (1918 – 1991-йиллар) для Android — APK Pure Gej кгд-синф дарслик адабиёт 7 юклаб олыш. Юклаб олиш 10 синф узбекистон тарихи мавзулаштирилган тестлар — сехифе 0-10 инглиз тили 2 синф дарслик 5-синфлар ортасида отказилган футбол ойин натиджалари — 7-синф она тили дарс исланма йиллик летать хай 8 синф pdf халкаро иш злар — 18 синф алгебра javoblari bilan Fly High English 8-sinf APK 1.0.0 (приложение для Android) — ️ APKCombo 9-sinf алгебра darslik — 9-sinf алгебра darslik 11 sinf. Тирик организатор яшаш [email protected] Узбекистон халки 5 — синф. Ватан туйгуси —
- Алгебра Ответы SINF 8 Javoblari
- Algebra Ответы SINF 8 Javoblari
- Алгебра Ответы SINF 8 Javoblari
- Algebra Ответы Sinf 8 Javoblari
- Algebra Assurels 8 javoblar 8
- .
на тили 7 синф 22 машк явоби — www .
жетысу- гов . кз. 1-sinf ona tili darsligi 2022. Telegram bot musiqa yuklab olish. Атлас 10 географии. 5-sinf-tarbiyaviy-soat-konspekt.doc -. 9-синф рус тили имтихон саволлари 2022. онлайн мактаб 4 синф 2022 27 январь. география 9 синф тест. 4-синф окиш фанидан йиллик иш режа -. физика 7 sinf masalalar javoblari. 5 грех ботаники дарслик скачать. физика 9 синф -. Китобар 6 синф География Конспект. 5-синф атлас скачать. 9-синф физика фанидан масалалар йечими -. Алгебра vii-sinf. И-чорак тест. А-вариант -. 10-синф кимё фанидан тест. математика 3 синф 2016 с burxonov или xudoyorov — Darsliklar. 8 синф чизмачилик китоби. 8-синф иктисодийот асослари китоб. 5-синф тарбия йиллик иш реджа. 8 синф дарсликлари 2022 2022-4202210-03. дезинфицирующая бомба волмарт. Тенглама йечиш 4 синф -.
Алгебра дарслик, 9-синф бепуль юклаб олыш Мордкович. Бепул музыка. . онлайн мактаб 5 синф рус тилида. . Бегматов, Д. Каримова, К. Мамиров musiqa 6-sinf uchun darslik. . 8-синф давлат ва хукук асослари китоби.. 9 синф физика дарслик 2022 pdf скачать. . (33,42 МБ) Скачать 7-СИНФ БИОЛОГИЯ ДАРСЛИГИ. ЗООЛОГИЯ. . Дарс биология 7-синф юклаб олыш. Юклаб ойын Ситой ойини. . Немис тилида иш китобининг синф 4 БИМ бепул юклаб олыш. Бу. . 11 синф она тили дарс исланма |. . Салом! Менга boshlangich sinflar uchun ish rejalar kerak. .
7 sinf ona tili 73 mashq javobi. 9 sinf tarbiya fanidan test. Скачать Физика 8-sinf 1.0.0 Apk — uz.foreach.. Математика 3 Sinf Kitob — BMW I8. 6 sinf ingliz tili darslik pdf скачать -. 4 грех математика тогарак иш реджа (йиллик иш реджа, таквим реджа). 4-синф математика тест 1-чорак. Adabiyot 6 Sinf Pdf ##VERIFIED## Скачать 📁 — Coub. 2 Sinf ingliz tili (konspekt) — китобар. 6 грех на тили darsliklari. окишга машклар. Sinflar uchun eng yaxshi xotiralarni ishlab. Abbosiylar davrida Xuroson va Movarounnahr. 7 — грех-. иктисодий билим асослари 9sinf 2014 e sariqov b haydarov — Darsliklar. 4-синф тарбия дарслик 2022. физика 9 синф китоби. Кашкадарьёда 3 та мактабнинг юкори синф кызлари джанджаллашди.
11 sinf tarix olimpiada testlari. 6-синф математика ечимлари — 6-синф математика ечимлари. 6-sinf ingliz tili darslik. 10-синф математика fanidan choraklik testlar. география 8 sinf pdf 2022. 3-Sinflar uchun musiqa fanidan test savollari -.
- она тили фанидан тестлар 7 синф
- 9 синф кимё китоби скачать
- Бошланг ич синф о кувчилари учун о йынлар
- 6-синф биология имтихон явоблари 2022 pdf
- Тарикс 6 синф Атлас юклаб олиш Данилов. Ноябрь 7 кислота хает
- 11-синф Астраномия фанидан 2022-2022-йыл иш режа —
- Туб копайтувчиларга айратыш. Математика 6-синф. 4-дарс
- узбек тили 4 синф 77 бет 2 машк нукталар орнига мос
. 11 синф биология 2 лаборатория явоблари. . биология 7 грех тест. .8-sinf алгебра дарс ишланмалар
физика 8 синф китоб. . 2- синфда йозув дафтари асосида олиб бориладиган -. . boshlangʻich sinflarda interfaol методлардан фойдаланиш. . рус тили дарслик 7-синф. . 2-синф иш реджаси — 2-синф иш реджаси. . 7 синф информатика имтихон саволлари 2022. . 3-синф йиллик иш режа 2022-2022. . 5-синф математика масалалар йечиш. . Синф 4 дарслик Афанасьева Михеева бепул юклаб олыш. Юклаб. . тасвирий санат 5 грех иш режа. .Иктисод 9-синф дарслик —
1-расмда нима орзу цилинган. Бошлангич синфларда. 10-синф информатика фанидан тест банки 2-чорак -. 7 синф география назорать иши явоблари. 6-sinf tarix 2009 pdf. 7-синф Тарбия фанидан йиллик иш режа -. дарс ишланмалар бошланг ич синфлар учун. 9-синф очик дарс она тили дарс ишланма.doc — Герои курса. 11-sinf-informatika-ish-reja.docx -. 4 sinf tarbiya fanidan test. 4 синф технология иш режа -. Технология синф 9 Симоненко юклаб олыш колланма.
Монте. -sinf kimyo fanidan olimpiada test savollari III-вариант -. 4 синф на тили дарслик 2022 -. алгебра ответы sinf 8 javoblari. математика fanidan ish reja6-sinf — afn . кз. 3 sinf musiqa darslik. Зарафшон шахар 12-мактаб бошлангыч синф окитувчиси. «Онлайн мактаб 7-синф» Telegram-каналы. 8-синф биология дарслик 2022. 11-синф имтихон явоблари. imtihon javoblari 2022. barcha fanlardan. алгебра ответы sinf 8 javoblari. Болада билим, акл, заковать бошлангич синфларда -. 3-sinf-Ona-tili.doc -. Юклаб польских дарслик математика Моро 1 Синф Кизм 2 ФГОС. Тера. физика 10-sinf darslik.pdf — 10 механика кинематики. 11-синф Узбекистон тарихи. Умумий тестлар -. 5-синф она тили ва адабиёт фанидан билимлар беллашуви учун. Fizika 7 sinf masalalar yechimi. 9-sinf математика дарслик — 9-sinf математика дарслик. Математика fanidan imtixon savollariga javablar 10 sinf, O. 4 sinf математика mantiqiy masalalar. 8-sinf imtihon javoblari ingiliz tili. Физика 9 Синф — Шумовой мост. 9-синф биология pdf 2022.
Тасвирий санат 7 синф — Узбекистан, Ташкент -. 5-синф Адабиёт — 202-мактаб.
10 Синф Информатика Имтихон Билетлари — Хима. huquq 8-sinf pdf. 11 английских слов для эссе. 5-синф йозувсиз харита — 5-синф йозувсиз харита. 10-синф джахон тарихи дарслик pdf. 8-синф информатика фанидан 1-ярим йиллик учун тест саволлари. Амалиёт хисобот намуналари pdf — 8-синф тарбия дарслик pdf скачать. 8-синф кимё китоб pdf -. 8 – синф Физика фанидан тест саволлари -. 5-sinf botanika Piza test .doc — 5-sinf Osimliklarning — Курс. Tarix topshiriqlar kitobi 8-sinf (Узбекистон тарихи) | Асаксий. 6 синфиш реджа рус тили. Синф 7 юклаб рус тили] часть 2. Севимли ойынлар крэк. Юклаб олиш. nemis tili daftari 3 sinf 2017 — Darsliklar. 8 грехов иктисод дарслик. Катталаштириб коршатадиган асбоблар. 5 — грех-. Yilning birinchi sinf oquvchilari uchun bahorgi tatil. Дам олиш. 2 синф о китувчи китоби. Онлайн талим айникса биринчи сынф окувчилари учун -. кимё дарслиги 10 синф. 1 грех йозув иш реджа. Boshlangich sinf oquvchilarida intelektual salohiyatni.
5-sinf fanlari yarmarkasi loyihasi goyalari. Мактаб рус математика 4-синф дарслик онлайн юклаб олыш. Halqali chuvalchanglar типи. Kam tuklilar sinfi ma v zusi bo. jahon tarix 10 sinf скачать. 5 sinf matematika 2022. sardor rahimxon ey sinfdosh mp3 скачать. 8-sinf алгебра 2014 javablari.
Алгебра и элементы математического анализа — Мордкович А.
Г. 7
Предисловие к английскому изданию
9
Глава 1. Реальные числа 9
1.1. Натуральные числа 1 (-;
1.2. Рациональные числа 3:3
1.3. Реальные числа
1.4. Простейшие преобразования интегральных рациональных выражений- 47
51
1.5. Уравнения с одной переменной 56
1.6. Линейные уравнения с двумя переменными 63
1.7. Неравенства с одной переменной
Глава 2. Преобразования алгебраических выражений 71
2.1. Полиномы 71
2.2. Преобразования дробных выражений 80
2.3. Корень арифметио и его свойства 93
2.4. Обобщение понятия экспоненты 103
2.5. Преобразования иррациональных выражений 107
Глава 3. Функции 113
3.
1. Основные понятия 113
3.2. Линейная функция 126
3.3. Степенные функции с интегральным показателем 136
3.4. Обратные функции 139
3.5. Степенная функция с любым рациональным показателем 143
3.6. Преобразования графов 145
3.7. Тригонометрические функции 156
3.8. Обратные тригонометрические функции 172
3.9. Графическое решение уравнений, неравенств и систем
Уравнений 178
Глава 4. Алгебраические уравнения и системы уравнений 183
4.1. Квадратные уравнения 183
4.2. Уравнения высших степеней 196
4.3. Иррациональные уравнения 201
4.4. Системы алгебраических уравнений 206
Глава 5. Неравенства 219
5.1. Доказательство неравенств 219
5.2. Решение рациональных неравенств 223
5.3. Системы и наборы рациональных неравенств 228
5.4. Неравенства и системы неравенств с двумя переменными 235
Глава 6.
Основные формулы тригонометрии и их приложения 239
6.1. Теорема сложения и ее следствия 239
6.2. Тригонометрические уравнения 252
Глава 7. Последовательности 264
7.1. Метод математической индукции 264
7.2. Основные понятия, связанные с последовательностями 270
7.3. Ограничение последовательности 274
7.4. Прогрессии 283
Глава 8. Элементы дифференциального и интегрального исчисления 298
8.1. Непрерывные функции 298
8.2. Предел функции 311
8.3. Производные 319
8.4. Методы дифференциации 328
8.5. Применение дифференциального исчисления к исследованию функций 340
8.6. Неопределенный интеграл 359
8.7. Определенный интеграл :364
Глава 9. Экспоненциальные и логарифмические функции 381
9.1. Экспоненциальные функции 381
9.2. Логарифмическая функция 388
9.
3. Экспоненциальные и логарифмические уравнения 400
9.4. Экспоненциальные и логарифмические неравенства 409
Глава 10. Элементы комбинаторики 415
10.1. Перестановки, компоновки и комбинации 415
10.2. Биноничная формула 423
Глава 11. Комплексные числа 426
11.1. Алгебраическая форма комплексного числа 426
11.2. Тригонометрическая форма комплексного числа 433
Ответы на упражнения 439
Самые важные формулы 451
Тематический указатель 457
Определение корня энной степени. Понятие n-го корня вещественного числа Понятие корня вещественного числа
Тема: Корни и степени. понятие корня n-й степени из действительного числа.»
Цели урока:
образовательная: изучить понятие арифметического корня из натуральной степени, в том числе нечетной степени; научиться вычислять арифметические корни.
образовательная: к активизировать работу учащихся на уроке, воспитывать интерес к предмету
развивающие: развивать интеллектуальные способности, умение переносить знания в новые ситуации.
Тип урока: изучение нового материала.
Метод: пояснительно-иллюстративный.
Оборудование: компьютер , интерактивная доска, презентация.
Во время занятий
1. Организационная часть
Привет. Готовность класса к уроку. Проверка домашнего задания.
2. Мотивация учебной деятельности, сообщение темы и постановка цели урока.
Сегодня мы будем изучать тему «Корни и степени. Понятие n-го корня действительного числа. Хочу обратить ваше внимание на слова Анатоль Франс(1844-1924) , который будет эпиграфом нашего урока. Мы будем работать с выражениями, содержащими корни. Вы расширите свои знания о корнях. В конце урока мы проделаем небольшую самостоятельную работу, чтобы проверить, как вы можете самостоятельно применять знания по данной теме.
«Учиться можно только в удовольствие…
Чтобы переваривать знания, нужно их впитывать с удовольствием».
Пояснение к новому материалу.
Определение 1. корень n -я степень неотрицательного числа a (n=2,3,4,5…) является неотрицательным числом, которое при возведении в степень из n, приводит к числу a.
Обозначение: — корень энной степени.
Число n называется степенью арифметического корня.
Если n=2, то степень корня не указывается и пишется
Корень второй степени называется квадратным корнем, а корень третьей степени называется кубическим корнем.
Возведение в степень и извлечение корня имеют одну и ту же зависимость:
Основные свойства корней
Закрепление изученного материала:
№ 1063 устно,
№ 1067 – 1069,
№ 1070 — 1071 (а, б)
№ 1072 -1073 (а, б)
№ 1076 (а, в)
№ 1078 (а, б)
№ 107 (а, в)
Самостоятельная работа:
Опция 1
№ 1070 -1071 (C)
№ 1072 -1073 (G)
Опция 2
№ 1070 -1071 (G)
№ 1072 -1073 ( в)
Домашнее задание: № 1076 (г), № 1078 (в), № 1079(б)
Подведение итогов урока:
Сегодня на уроке мы изучили понятие арифметического корня n-й степени и закрепили его, решая примеры.
Оценка урока.
Литература
1.A.G. Мордкович. Алгебра и начало математического анализа. 10-11 классы. В 2 ч. Учебник для студентов общеобразовательных учреждений (базовый уровень).- М: Мнемозина, 2012
2. Александрова Л.А. Алгебра и начала анализа. 11 кл. Самостоятельная работа: пособие для общеобразовательных учреждений / под. изд. Мордкович А.Г.–М.: Мнемозина, 2014
3. Т.И. Купорова. Алгебра и начало анализа. 11 класс: Планы уроков по учебнику Мордковича А.Г. — Волгоград: Учитель, 2008.
4. Рурукин А. Н. Поурочные разработки в алгебре и начала анализа: 11 класс. – М.: ВАКО, 2014.
5. Нечаев М.П. Занятия по курсу «Алгебра — 11». — М.: 5 для знаний, 2007
Для успешного использования операции извлечения корня на практике необходимо ознакомиться со свойствами этой операции.
Все свойства сформулированы и доказаны только для неотрицательных значений переменных, содержащихся под корневыми знаками.
Теорема 1.
Корень n-й степени (n=2, 3, 4,…) произведения двух неотрицательных наборов микросхем равен корням произведения n-й степени из следующих чисел:
Комментарий:
1. Теорема 1 остается справедливой для случая, когда подкоренное выражение является произведением более чем двух неотрицательных чисел.
Теорема 2. Если , и n — натуральное число больше 1, то равенство
Краткая (хотя и неточная) формулировка, более удобная для использования на практике: корень дроби равен дроби корнеплоды.
Теорема 1 позволяет умножать m только корни одной и той же степени , то есть только корни с одинаковым показателем степени.
Теорема 3. Если , k — натуральное число и n — натуральное число больше 1, то выполняется равенство
Другими словами, чтобы возвести корень в натуральную степень, достаточно возвести в эту степень корневое выражение.
Это следствие теоремы 1. Действительно, например, при k = 3 получаем
Теорема 4. Если , k, n — натуральные числа больше 1, то равенство
Другими словами, чтобы извлечь корень из корня, достаточно умножить показатели корней.
Например,
Будьте осторожны! Мы узнали, что над корнями можно производить четыре операции: умножение, деление, возведение в степень и извлечение корня (из корня). А как же сложение и вычитание корней? Ни за что.
Например, нельзя писать вместо Действительно, Но очевидно, что
Теорема 5. Если показатели корня и корневого выражения умножаются или делятся на одно и то же натуральное число, то значение корня не изменится, т.е. 9Пример 1 Используя первое свойство корней (теорема 1), получаем:
Пример 2 Вычислить
Решение. Преобразуйте смешанное число в неправильную дробь.
Имеем Используя второе свойство корней ( теорема 2 ), получаем:
Пример 3 Рассчитать:
Решение.
Любая формула в алгебре, как известно, употребляется не только «слева направо», но и «справа налево». Итак, первое свойство корней означает, что его можно представить в виде и, наоборот, можно заменить выражением. То же самое относится и ко второму свойству корней. Имея это в виду, произведем расчеты.
или по формуле разности квадратов:
- (х 2 -4) * (х 2 +4) = 0.
Произведение двух множителей равно нулю, если хотя бы один из них равен нулю.
Выражение x 2 +4 не может равняться нулю, поэтому остается только (x 2 -4)=0.
Решаем, получаем два ответа.
Ответ: x=-2 и x=2.
Получили, что уравнение х 4 = 16 имеет всего 2 действительных корня. Это корни четвертой степени из числа 16. Причем положительный корень называется арифметическим корнем 4-й степени из числа 16. И обозначают они 4√16. То есть 4√16=2.
Определение
- Арифметическим корнем натуральной степени n>=2 из неотрицательного числа a является некоторое неотрицательное число, при возведении которого в степень n получается число a.
Можно доказать, что для любого неотрицательного a и натурального n уравнение x n = a будет иметь единственный неотрицательный корень. Именно этот корень и называется арифметическим корнем n-й степени из числа а.
Арифметический корень n-й степени из числа a обозначается следующим образом n√a.
Число а в этом случае называется корневым выражением.
В случае, когда n = 2, двойку не пишут, а просто пишут √a.
Арифметические корни второй и третьей степени имеют свои специальные названия.
Арифметический корень второй степени называется квадратным корнем, а арифметический корень третьей степени — кубическим корнем.
Используя только определение арифметического корня, можно доказать, что n√a равно b. Для этого нужно показать, что:
- 1. b больше или равно нулю.
- 2. б н =а.
Например, 3√(64) = 4, потому что 1. 4>0, 2. 4 3 = 64.
Следствие из определения арифметического корня.
- (n√a) n = a.
- н√(ан) = а.
Например, (5√2) 5 = 2.
Извлечение корня n-й степени
Извлечение корня n-й степени — это действие, с помощью которого находится корень n-й степени. Извлечение n-го корня — это действие, обратное возведению в n-ю степень.
Рассмотрим пример.
Решите уравнение x 3 = -27.
Перепишем это уравнение как (-x) 3 =27.
Положим y = -x, тогда y 3 = 27. Это уравнение имеет один положительный корень y= 3√27 = 3.
Это уравнение не имеет отрицательных корней, так как y 3
Получаем, что уравнение у 3 = 27 имеет только один корень.
Возвращаясь к исходному уравнению, мы находим, что оно также имеет только один корень x=-y=-3.
Корневая степень n от действительного числа a , где n — натуральное число, такое действительное число называется x , n у которого th степень равна a .
Корень степени n из числа a обозначен символом.
Согласно этому определению.
Нахождение корня n -й степени из числа a называется извлечением корня. Число a называется корневым числом (выражением), n — индикатор рута. Для нечетных n существует корень n -й степени для любого действительного числа a . Даже n есть корень n -й степени только для неотрицательного числа a . Для устранения неоднозначности корня n -й степени из числа в введено понятие арифметического корня n -й степени из числа в .
Понятие арифметического корня степени N
Если и n — натуральное число больше 1 , то существует и только одно неотрицательное число X , такое что выполняется равенство. Это число X называется арифметическим корнем n -й степени неотрицательного числа и обозначается . Число а называется корневым, число n — показателем корня.
Итак, согласно определению, обозначение , где , означает, во-первых, что и, во-вторых, что , т.
е.
Понятие степени с рациональным показателем
Степень с натуральным показателем: пусть a — действительное число, а n — натуральное число больше единицы n -я степень числа a назовем произведение n множителей, каждый из которых равен a , т.е. Число a — основание степени, n — показатель степени. Показатель с нулевым показателем: по определению, если , то . Нулевая степень числа 0 не имеет смысла. Степень с отрицательным целым показателем: по определению, если и n — натуральное число, то . Степень с дробным показателем: по определению, если и n — натуральное число, m — целое число, то .
Операции с корнями.
Во всех приведенных ниже формулах символ означает арифметический корень (подкоренное выражение положительное).
1. Корень произведения нескольких множителей равен произведению корней этих множителей:
2. Корень из отношения равен отношению корней делимого и делителя:
3.
При возведении корня в степень достаточно возвести в эту степень число корня:
4. Если увеличить степень корня в n раз и одновременно возвести число корня в n-ю степень, то значение корня не изменится:
5. Если уменьшить степень корня в n раз а заодно извлечь из подкоренного числа корень n-й степени, то значение корня не изменится:
Расширение понятия степени. До сих пор мы рассматривали степени только с натуральным показателем; но операции со степенями и корнями также могут привести к отрицательным, нулевым и дробным показателям. Все эти показатели требуют дополнительного определения.
Степень с отрицательным показателем. Степень некоторого числа с отрицательным (целым) показателем степени определяется делением единицы на степень того же числа с показателем степени, равным абсолютному значению отрицательного показателя степени:
Теперь формулу a m: a n = a m — n можно использовать не только для m больше n, но и для m меньше n.
ПРИМЕР a 4: a 7 = a 4 — 7 = a -3 .
Если мы хотим, чтобы формула a m: a n = a m — n была верна для m = n , нам нужно определить нулевую степень.
Градус с нулевым показателем. Степень любого ненулевого числа с нулевым показателем степени равна 1.
ПРИМЕРЫ. 2 0 = 1, (- 5) 0 = 1, (- 3 / 5) 0 = 1.
Степень с дробным показателем. Для того, чтобы возвести действительное число а в степень m/n, нужно из m-й степени этого числа а извлечь корень n-й степени:
О выражениях, которые не имеют смысла. Таких выражений несколько.
Случай 1
Где ≠ 0 не существует.
Действительно, если предположить, что х есть некоторое число, то в соответствии с определением операции деления имеем: а = 0 · х, т.е. а = 0, что противоречит условию: а ≠ 0
Случай 2
Любой номер.
Действительно, если предположить, что это выражение равно некоторому числу x, то по определению операции деления имеем: 0 = 0 · x . Но это равенство выполняется для любого числа x, что и требовалось доказать.
Действительно,
Решение. Рассмотрим три основных случая:
1) х = 0 — это значение не удовлетворяет этому уравнению
2) при х > 0 получаем: х/х = 1, т.е. 1 = 1, откуда следует, что х есть любое число ; но учитывая, что в нашем случае x > 0, ответ будет x > 0;
3) в х
в этом случае решения нет. Значит х > 0.
Урок и презентация на тему: «n-й корень действительного числа»
Дополнительные материалы
Уважаемые пользователи, не забывайте оставлять свои комментарии, отзывы, предложения! Все материалы проверяются антивирусной программой.
Учебно-методические пособия и тренажеры в интернет-магазине «Интеграл» для 11 класса
Алгебраические задачи с параметрами, 9–11 классы
«Интерактивные задачи на построение в пространстве для 10 и 11 классов»
Корень n степени. Повторение прошлого.
Ребята, тема сегодняшнего урока называется 94=7$.
4=7$ запишутся в таком виде: $x_1=-\sqrt(7)$ и $x_2=\sqrt(7)$. Читается как четвертый корень из семи. 95=a$ и пробегая по всей оси у, легко понять, что это уравнение всегда будет иметь одно решение. В этом случае значение a может быть меньше нуля.
Корень n степени. Определение
Определение. Корень n-й степени ($n=2,3,4…$) неотрицательного числа a — это такое неотрицательное число, при возведении которого в степень n получается число a.
Этот номер обозначается как $\sqrt[n](a)$. Число а называется корневым числом, n — индексом корня. 9n=a.$
Операция нахождения корня неотрицательного числа называется «извлечением корня» .
Возведение в степень и извлечение корня — это одна и та же зависимость:
Ребята, обратите внимание, что в таблице представлены только положительные числа. В определении мы оговорили, что корень берется только из неотрицательного числа а. Далее сделаем уточнения, когда можно извлечь корень из отрицательного числа а.
Корень n степени. Примеры решения 93=0,064$.
С) $\sqrt(0)$.
Решение: $\sqrt(0)=0$.
D) $\sqrt(34)$.
Решение: В этом примере мы не можем узнать точное значение, наше число иррационально. Но можно сказать, что оно больше 2 и меньше 3, так как 2 в 5-й степени равно 32, а 3 в 5-й степени равно 243. 34 лежит между этими числами. Приблизительное значение мы можем найти с помощью калькулятора, который вычисляет корни $\sqrt(34)≈2,02$ с точностью до тысячных.
В нашем определении мы договорились вычислять корни n-й степени только из положительных чисел. В начале урока мы видели пример того, что из отрицательных чисел можно извлечь корни n-й степени. Мы рассмотрели нечетный показатель функции, а теперь сделаем некоторые пояснения. 9п=а$.
Четный корень имеет смысл только для положительного числа корня, нечетный корень имеет смысл для любого числа корня.
Примеры.
а) Решите уравнения: $\sqrt(3x+3)=-3$.
Решение: Если $\sqrt(y)=-3$, то $y=-27$.


ru
Г. Мордковича и П. В. Семенова. В сборнике приведены работы в шести вариантах по всем темам курса.
И. Мнемозина 2016 ФГОС с ответами онлайн бесплатно!

Здесь Вы найдете готовые ответы на домашнюю работу. Смотрите решения и получайте пятерки.
moda
ГДЗ к задачнику по алгебре 10-11 класса Базовый уровень Мордкович можно посмотреть тут.
Физика new. Английский. Алгебра. Русский язык. Геометрия.
Решебники включают в себя решение задач, как повышенной сложности, так и самые простые. Использование данных решебников и гдз 11 класса позволит Вам обрести больше свободного личного времени и сократит время выполнения домашнего задания по алгебре. Важной составляющей решебников является наличие онлайн версии гдз, что позволяет работать с ним в любое время суток.
moda
..
В 10 и 11 классах ученики испытывают наибольший стресс за весь период обучения в школе.
Первая глава посвящена правильному вычислению степеней с рациональным показателем, а вторая и третья больше внимания уделяет задачам с функциями, основанными на показателях и логарифмах.
В пособии решены и в большинстве случаев подробно разобраны задачи и упражнения из учебника «Мерзляк А.Г., Номировский Д.А., Полонский В.Б., Якир М.С. Алгебра и начала математического анализа: 11 класс.
И. Алгебра и начала анализа. Контрольные работы…
ГДЗ (решебник) Алгебра и начала математического…
. 9 синф физика дарслик 2022 pdf скачать. . (33,42 МБ) Скачать 7-СИНФ БИОЛОГИЯ ДАРСЛИГИ. ЗООЛОГИЯ. . Дарс биология 7-синф юклаб олыш. Юклаб ойын Ситой ойини. . Немис тилида иш китобининг синф 4 БИМ бепул юклаб олыш. Бу. . 11 синф она тили дарс исланма |. . Салом! Менга boshlangich sinflar uchun ish rejalar kerak. .