- Решебник к дидактическим материалам по алгебре для 11 класса Шабунина М.И. ОНЛАЙН
- Поиск материала «ГДЗ по алгебре для 11 класса к «Дидактические материалы по алгебре и началам анализа для 11 класса, Ивлев Б.М., Саакян С.М., Шварцбурд С.И., 2001»» для чтения, скачивания и покупки
- 11 Математические приложения и онлайн-инструменты, рекомендуемые учителями для PreK-12
Решебник к дидактическим материалам по алгебре для 11 класса Шабунина М.И. ОНЛАЙН
Избранное / Решебники (ГДЗ) для школьников
Решения самостоятельных и контрольных работ по алгебре и началам математического анализа из дидактических материалов для 11 класса Шабунина М.И. — Рукопись. — 2015.
Настоящее пособие содержит решения самостоятельных и контрольных работ из сборника «Алгебра и начала математического анализа. Дидактические материалы. 11 класс : базовый уровень / [М. И. Шабунин, Р. Г. Газарян, М. В. Ткачёва, Н. Е. Фёдорова]. — М.: Просвещение, 2013.— 191 с.»
Пособие адресовано родителям, которые смогут проконтролировать детей, а в случае необходимости помочь им в выполнении домашней работы по алгебре.
Внимание! Рукопись не проверялась, возможны ошибки
Содержание
Глава VII. Тригонометрические функции
§ 38.
Область определения и множество значений тригонометрических функций
§ 39. Чётность, нечётность, периодичность тригонометрических функций
1 2 3 4 5 6 7 8 9§ 40. Свойства функции у = cos х и её график
5 9 7 8 1 10 3 4 2 6§ 41. Свойства функции у = sin х и её график
§ 42. Свойства функции у = tg х и её график
Контрольная работа № 1
Глава VIII. Производная и её геометрический смысл
§ 44. Производная
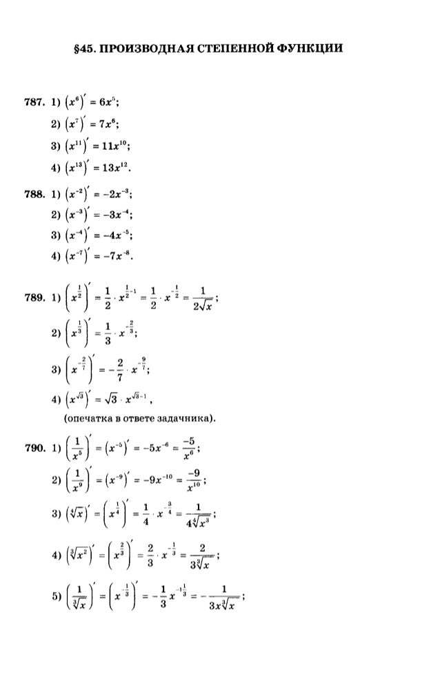
§ 45. Производная степенной функции
§ 46. Правила дифференцирования
§ 47. Производные некоторых элементарных функций
§ 48. Геометрический смысл производной
Контрольная работа № 2
Глава IX. Применение производной к исследованию функций
§ 49. Возрастание и убывание функции
§ 50. Экстремумы функции
§ 51. Применение производной к построению графиков функций
§ 52.
Наибольшее и наименьшее значения функции
Контрольная работа № 3
Глава X. Интеграл
§ 54. Первообразная
§ 55. Правила нахождения первообразных
§ 56. Площадь криволинейной трапеции и интеграл
§ 58. Вычисление площадей с помощью интегралов
Контрольная работа № 4
Глава XI. Комбинаторика
§ 60. Правило произведения
§ 61. Перестановки
§ 62. Размещения
§ 63. Сочетания и их свойства
§ 64. Бином Ньютона
Контрольная работа № 5
Глава XII. Элементы теории вероятностей
§ 65. События
§ 66. Комбинации событий. Противоположное событие
§ 67. Вероятность события
§ 68. Сложение вероятностей
§ 69. Независимые события. Умножение вероятностей
§ 70. Статистическая вероятность
Контрольная работа № 6
Глава XIII. Статистика
§ 71.
Случайные величины
§ 72. Центральные тенденции
§ 73. Меры разброса
Контрольная работа № 7
Поиск материала «ГДЗ по алгебре для 11 класса к «Дидактические материалы по алгебре и началам анализа для 11 класса, Ивлев Б.М., Саакян С.М., Шварцбурд С.И., 2001»» для чтения, скачивания и покупки
Ниже показаны результаты поиска поисковой системы Яндекс. В результатах могут быть показаны как эта книга, так и похожие на нее по названию или автору.
Search results:
- Алгебра и начала анализа. Дидактические материалы для 11…
Дидактические материалы содержат самостоятельные и контрольные работы по алгебре и началам математического анализа, материал для уроков обобщающего повторения и подготовки учащихся к письменному экзамену по алгебре и началам математического анализа, примерные варианты экзаменационных работ за курс средней школы, материал для проведения программированного контроля, карточки-задания для зачетов в условиях применения лекционно-семинарской системы преподавания математики.

11klasov.net
- Решебник (ГДЗ) Дидактические материалы по алгебре
…Решебник по учебнику: Решение самостоятельных и контрольных работ по алгебре и началам анализа за 11 класс к учебному пособию «Б.М. Ивлев, С.М. Саакян, С.И. Шварцбурд. Дидактические материалы по алгебре и началам анализа для 11 класса. (А.А. Сапожников, Ф.Ф. Тихонин) — 5-е изд.— М.: Просвещение, 2001 г.»
vsesdali.com
-
Купить эту книгу
- Канцтовары
Канцтовары: бумага, ручки, карандаши, тетради. Ранцы, рюкзаки, сумки. И многое другое.
my-shop.ru
- Скачать бесплатно Алгебра и начала анализа. Дидактические.
..Дидактические материалы содержат самостоятельные и контрольные работы по алгебре и началам математического анализа, материал для уроков обобщающего повторения и подготовки учащихся к письменному экзамену по алгебре и началам математического анализа, примерные варианты экзаменационных работ за курс средней школы, материал для проведения программированного контроля, карточки-задания для зачетов в условиях применения лекционно-семинарской системы преподавания математики.
fizikadlyvas.net
- Гдз 11 класс — Дидактические материалы по алгебре и началам…
…материалы по алгебре и началам анализа для 11 класса, авторы: Б.М. Ивлев, С.М. Саакян,С.И. Шварцбурд.
Б.М. Ивлев, С.М. Саакян,С.И. Шварцбурд. «М.: Просвещение». Начало книги. Алгебра — 11 класс. Выберете раздел. Карточки-задания для проведения.

..znani.co
- ГДЗ по Алгебре 11 класс Дидактические материалы Ивлев
Тип: Дидактические материалы. Авторы: Ивлев Б.М., Саакян С.М., Шварцбурд С.И. Издательство: Просвещение 2019. ГДЗ РФ — У нас подобраны готовые решения домашних заданий по Алгебре , Дидактические материалы за 11 класс, Ивлев Б.М., Саакян С.М., Шварцбурд С.И. Просвещение. Вы найдете ответы на вопросы, краткое и полное решение задач.
xn--c1acj.xn--p1ai
- Дидактические материалы по алгебре 11 класс Ивлев
Автор книжки: Шварцбурд , Саакян С.М., Ивлев Б.М… Предмет книжки: Алгебра. Класс ученика: 11 класс Издательство книжки: просвещение… Частей книжки: 1 часть. Год печати книжки: 2007 год Страниц в книжке: 192 страниц.

Кроме задач на уровне неизбежных программных и требований, были включены более сложные задачи для учащихся, обнаруживающих увеличенный интерес к математике и алгебре, для участников кружка по математике и факультативных занятий.
gdz-online.ws
- Учебник Алгебра Дидактические материалы 11 класс Ивлев…
Издательство «Просвещение», 2000 Все права защищены. ПРЕДИСЛОВИЕ В пособии содержатся самостоятельные и контрольные работы по алгебре и началам анализа по курсу XI класса, материал для уроков обобщающего повторения и подготовки учащихся к письменному экзамену по алгебре и началам анализа, примерные варианты экзаменационных работ за курс средней школы, материал для проведения программированного контроля, карточки-задания для зачетов в условиях применения лекционно-семинарской системы преподавания математики.
uchebnik-skachatj-besplatno.
com - Алгебра и начала анализа. Дидактические материалы 11 класс.
Дидактические материалы содержат самостоятельные и контрольные работы по алгебре и началам математического анализа, материал для уроков обобщающего повторения и подготовки учащихся к письменному экзамену по алгебре и началам математического анализа, примерные варианты экзаменационных работ за курс средней школы, материал для проведения программированного контроля, карточки-задания для зачетов в условиях применения лекционно-семинарской системы преподавания математики.
libcats.org
- Решебник (ГДЗ) Дидактические материалы по алгебре…
Решебники (гдз) по алгебре за 10 класс. Алгебра и начала анализа 10-11 класс, Алимов Ш.А., Колягин Ю.М., Сидоров Ю.
В., 1999.Дидактические материалы по алгебре и началам анализа для 10 класса. Ивлев Б.М., Саакян С.М., Шварцбурд С.И., 1999. Алгебра и начала математического анализа, 10-11 класс. Часть 2 из 2. Задачник (А. Г. Мордкович и др.)
vsesdali.com
- Ивлев Б.М., Саакян С.М., Шварцбурд С.И. Дидактические…
— 145 с. Пособие для учителя Дидактические материалы предназначены для учителей средней школы в качестве дополнительного пособия. Тексты самостоятельных и контрольных работ даны в соответствии с действующим учебным пособием «Алгебра и начала анализа, 9-10».
Пособие содержит подробный разбор заданий из учебника по алгебре и началам анализа для 10-11 классов Ш. А. Алимова, Ю. Н. Колягина и др. Приводятся основные сведения по каждому разделу, алгоритмы решения типовых задач, ключи, ответы и подробный разбор заданий.
www.studmed.ru
- Дидактические материалы по алгебре и началам анализа для.
..Проверочные работы 93 Примерные контрольные работы 99. Примерные варианты экзаменационных работ по алгебре и началам анализа за курс средней школы 108. Материал для проведения программированного контроля 115. Ответы и указания 118.
Эти задания могут быть даны учащимся после выполнения ими основной работы наравне со всеми учащимися класса в оставшееся время или использованы в качестве необязательных заданий для домашней работы, а также на занятиях математического кружка.
sovietime.ru
- ГДЗ решебник алгебра и начала математического анализа 11…
ГДЗ к учебнику алгебре за 11 класс. АВТОР: Ивлева Б.М., Саакян С.М., Шварцбург С.И., 2007. Здесь мы представили все ответы к учебнику по алгебре за одиннадцатый класс авторов Ивлева Б.М., Саакян С.М., Шварцбург С.И. 2007 года выпуска. Только самые лучшие готовые домашние задания по сложным школьным предметам!
gdz.
rodeo - Решебники по алгебре геометрии скачать бесплатно…
Решение самостоятельных и контрольных работ по алгебре и началам анализа к пособию Дидактические материалы 11 класс — Ивлев — Саакян — Шварцбурд — 2008 скачать. Решение экзаменационных задач за 11 класс из Сборника заданий для проведения письменного экзамена по математике (А), алгебре и началам анализа (В) — Дорофеев — Дрофа — 2008 скачать.
frenglish.ru
- Дидактические материалы по алгебре и началам анализа для…
Ивлев Б.М., Саакян С.М., Шварцбурд С.И. Дидактические материалы предназначены для учащихся средней школы в качестве дополнительного пособия. Тексты самостоятельных работ даны в соответствии с действующим учебником «Алгебра и начала анализа, 10—11». Скачать книгу бесплатно (djvu, 3.01 Mb). Читать «Дидактические материалы по алгебре и началам анализа для 10 класса».

libcats.org
- Гдз по Алгебре 11 класс
Решебник по Алгебре 11 класс бесплатно, быстро и удобно!
Дидактические материалы по алгебре и началам анализа для 11 класса. Б.М. Ивлев, С.М. Саакян,С.И. Шварцбурд.
znani.co
- Алгебра и начала анализа. Дидактические материалы для 11…
Дидактические материалы содержат самостоятельные и контрольные работы по алгебре и началам математического анализа, материал для уроков обобщающего повторения и подготовки учащихся к письменному экзамену по алгебре и началам математического анализа, примерные варианты экзаменационных работ за курс средней школы, материал для проведения программированного контроля, карточки-задания для зачетов в условиях применения лекционно-семинарской системы преподавания математики.

www.at.alleng.org
- Дидактические материалы по алгебре и началам анализа для…
Пос. для учителя. — Ивлев Б.М., Саакян С.М., Шварцбурд С.И. Дидактические материалы предназначены для учителей средней школы в качестве дополнительного пособия. Тексты самостоятельных и контрольных работ даны в соответствии с действующим учебным пособием «Алгебра и начала анализа, 9-10». Рубрика: Алгебра / Дополнительно Алгебра Дополнительно Алгебра. Автор: Ивлев Б.М., Саакян С.М., Шварцбурд С.И. Год: 1988. Для учеников: 10 класс. Язык учебника: Русский. Формат: DJVU.
11klasov.net
- Книга Дидактические материалы по алгебре и началам анализа…
«Дидактические материалы по алгебре и началам анализа для 10 класса» — читать интересную книгу автора (Ивлев Б.
М., Саакян С.М., Шварцбурд С.И.)bookree.org
- textbooks1-11.ru Дидактические материалы по алгебре…
Дидактические материалы по алгебре и началам анализа для 10 класса. Пос. для учителя. — Ивлев Б.М., Саакян С.М., Шварцбурд С.И. cкачать в DJVU. Дидактические материалы предназначены для учителей средней школы в качестве дополнительного пособия. Тексты самостоятельных и контрольных работ даны в соответствии с действующим учебным пособием «Алгебра и начала анализа, 9-10». Формат: pdf. Количество страниц: 144. Класс: Дополн. Категория: алгебра дополнительно. Год издания: 1988.
textbooks1-11.ru
- Решебник к дидактическим материалам по алгебре для 11…
Решения самостоятельных и контрольных работ по алгебре и началам математического анализа из дидактических материалов для 11 класса Шабунина М.
И. — Рукопись. — 2015. Настоящее пособие содержит решения самостоятельных и контрольных работ из сборника «Алгебра и начала математического анализа. Дидактические материалы. 11 класс : базовый уровень / [М. И. Шабунин, Р. Г. Газарян, М. В. Ткачёва, Н. Е. Фёдорова].gdz.math-helper.ru
- Алгебра и начала анализа. Дидактические материалы для 11…
Дидактические материалы содержат самостоятельные и контрольные работы по алгебре и началам математического анализа, материал для уроков обобщающего повторения и подготовки учащихся к письменному экзамену по алгебре и началам математического анализа, примерные варианты экзаменационных работ за курс средней школы, материал для проведения программированного контроля, карточки-задания для зачетов в условиях применения лекционно-семинарской системы преподавания математики.

uchebniki.alleng.me
- Гдз 10 класс — Дидактические материалы по алгебре и начала…
Б.М. Ивлев, С.М. Саакян, С.И. Шварцбург. «М.: Просвещение, 1999». Начало книги. Алгебра — 10 класс. Выберете раздел. Карточки-задания для проведения зачетов.
znani.co
- Гдз по Алгебре. 1-11 класс
«М.: Мнемозина». Дидактические материалы по алгебре и началам анализа для 11 класса. Б.М. Ивлев, С.М. Саакян,С.И. Шварцбурд.
«М.: Просвещение, Решения и ответы к контрольным работам 2011-2015 гг.» Дидактические материалы по алгебре для 8 класса. Б.Г. Зив, В.А. Гольдич.
znani.co
- Ивлев Б.М., Саакян С.М., Шварцбурд С.
И. Алгебра и начала…Дидактические материалы содержат самостоятельные и контрольные работы по алгебре и началам математического анализа, материал для уроков обобщающего повторения и подготовки учащихся к письменному экзамену по алгебре и началам математического анализа, примерные варианты экзаменационных работ за курс средней школы, материал для проведения программированного контроля, карточки-задания для зачетов в условиях применения лекционно-семинарской системы преподавания математики.
www.psyoffice.ru
- 1-11klasses Алгебра и начала анализа. Дидактические…
Дидактические материалы содержат самостоятельные и контрольные работы по алгебре и началам математического анализа, материал для уроков обобщающего повторения и подготовки учащихся к письменному экзамену по алгебре и началам математического анализа, примерные варианты экзаменационных работ за курс средней школы, материал для проведения программированного контроля, карточки-задания для зачетов в условиях применения лекционно-семинарской системы преподавания математики.

1-11klasses.ru
- Готовые домашние задания по алгебре. Школьные ГДЗ по…
Дидактические материалы по алгебре и началам анализа Ивлев Б.М., Саакян С.М., Шварцбурд С.И. 10 класс.
Сборник заданий для подготовки и проведения письменного экзамена за курс средней школы. Дорофеев Г.В., Муравин Г.К., Седов Е.А. 11 класс.
bobych.ru
- Дидактические материалы по алгебре. DjVu
В пособии содержатся самостоятельные и контрольные работы по алгебре и началам анализа по курсу X класса, материал для уроков обобщающего повторения и подготовки учащихся к письменному экзамену по алгебре и началам анализа, примерные варианты экзаменационных работ за курс средней школы. Дидактические цели письменных работ того и другого вида учителям известны.
Самостоятельные работы обозначены буквой С с соответствующим номером. Например, С-5 — это пятая самостоятельная работа.sheba.spb.ru
- Дидактические материалы по алгебре и началам анализа для…
Материал для проведения программированного контроля 115. Ответы и указания 118. Скачать учебник СССР — Дидактические материалы по алгебре и началам анализа для 10 класса 1988 года.
Эти задания могут быть даны учащимся после выполнения ими основной работы наравне со всеми учащимися класса в оставшееся время или использованы в качестве необязательных заданий для домашней работы, а также на занятиях математического кружка.
ussrvopros.ru
- Дидактические материалы по алгебре и началам анализа в 11.
..Сборник дидактических материалов к учебнику Алимова «Алгебра и начала математического анализа» для 11 классав формате PDF. Авторы: Шабунин М.И. и др.. Алгебра, Уроки, 11 класс, Уроки, Дидактические материалы по алгебре и началам анализа в 11 кл.
multiurok.ru
- Дидактические материалы по алгебре и началам анализа для…
Тексты самостоятельных и контрольных работ даны в соответствии с действующим учебным пособием «Алгебра и начала анализа, 9-10».
Содержание: Предисловие — 3 Самостоятельные работы — 6 Повторительные самостоятельные работы — 53 Проверочные работы — 93 Примерные контрольные работы — 99 Примерные варианты экзаменационных работ по алгебре и началам анализа за курс средней школы — 108 Материал для проведения программированного контроля — 115 Ответы и указания — 118.
www.
at.alleng.org - Гдз по Алгебре 10 класс
Решебник по Алгебре 10 класс бесплатно, быстро и удобно!
Дидактические материалы по алгебре и начала анализа для 10 класса. Б.М. Ивлев, С.М. Саакян, С.И. Шварцбург.
znani.co
- Мегарешеба — ГДЗ по Алгебре за 11 класс Ивлев Б.М., Саакян…
авторы: Ивлев Б.М., Саакян С.М., Шварцбурд С.И.. Издательство: Просвещение 2019 год. «ГДЗ по алгебре за 11 класс к дидактическим материалам Ивлева» весьма выручит школьников на последнем этапе обучения. Помимо напряженной программы обучения, ребятам предстоит еще усилено готовиться к предстоящим в конце года ЕГЭ. К тому же, необходимо учитывать и текущие контрольные испытания. С такими нагрузками справиться по силам далеко не всем. Большинство же подростков и вовсе впадают в уныние, опускают руки и пускают все на самотек.

megaresheba.net
На данной странице Вы можете найти лучшие результаты поиска для чтения, скачивания и покупки на интернет сайтах материалов, документов, бумажных и электронных книг и файлов похожих на материал «ГДЗ по алгебре для 11 класса к «Дидактические материалы по алгебре и началам анализа для 11 класса, Ивлев Б.М., Саакян С.М., Шварцбурд С.И., 2001»»
Для формирования результатов поиска документов использован сервис Яндекс.XML.
Нашёлся 21 млн ответов. Показаны первые 32 результата(ов).
Дата генерации страницы:
11 Математические приложения и онлайн-инструменты, рекомендуемые учителями для PreK-12
Для некоторых учителей математики цифровые инструменты, которые помогают учащимся визуализировать математические концепции, такие как Desmos, или веб-сайты, поощряющие математические дискуссии, такие как Fraction Talks, уже были частью их репертуара до пандемии.
Но других учителей дистанционное обучение впервые подтолкнуло к изучению математических приложений и онлайн-ресурсов.
Мы поговорили с сотнями педагогов и просмотрели более 500 комментариев, чтобы узнать, какие математические инструменты они сочли полезными и бесполезными во время дистанционного обучения этой весной, а какие сокращены для использования в новом учебном году.
Практика математических навыков
Ряд математических приложений и онлайн-инструментов могут помочь учащимся развить необходимое базовое понимание арифметических операций, которые им понадобятся в качестве основы для решения более сложных математических задач позже, рассказали нам учителя математики.
Чтобы помочь младшим школьникам практиковать такие навыки, как счет, сложение и вычитание, Эшли Блэквелдер, координатор Elementary STEAM в Южной Каролине, настоятельно рекомендует бесплатное приложение Moose Math для iPhone и iPad. В Moose Math учащиеся играют в математические игры, которые приносят им очки, чтобы помочь построить город.
Блэквелдер говорит, что детям легко ориентироваться в этом формате, и он отлично подходит для кратковременной концентрации внимания.
Разработчик учебных программ и учебных пособий Кэсси Табризи порекомендовала веб-сайт Happy Numbers (от дошкольного до 5-го класса) на основе подписки (14,50 долл. математические понятия высшего порядка. Чтобы использовать его, ученики превращаются в персонажей динозавров и решают математические задачи, чтобы вылупить яйца динозавров. Табризи сказала, что веб-сайт полезен, но рекомендует использовать его умеренно: ученикам может показаться утомительным, если они будут заниматься более 10 минут в день.
Учащиеся сражаются с монстрами в образе волшебника в Prodigy (1–8 классы), бесплатном игровом веб-сайте (также доступен в виде приложения для iPhone, iPad, iPod Touch и Android). Prodigy нравится детям, но не педагогам, потому что он больше основан на игре. Бритни Пейдж, учительница пятого класса из Сиэтла, говорит, что, хотя это больше похоже на игру, ей нравится, что она автоматически нацелена на математические понятия, с которыми учащиеся сталкивались во время предварительного оценивания, и отслеживает, какой прогресс они добились в целевых областях.
Большинство учителей предлагают Prodigy в качестве опции для студентов, если они заканчивают задание раньше срока.
Предоставлено Prodigy
После успешного решения математической задачи питомец учащегося произносит заклинание в бою.
Zearn (1–5 классы), бесплатная веб-программа для самостоятельного изучения, согласованная с Eureka Math — бесплатной учебной программой по математике от PreK до 12, — начинается типичный урок с веселых разминочных упражнений, таких как сложение. сколько яблок съедает мультяшная лиса, заинтересовать учащихся. Работая по программе, учащиеся решают арифметические задачи на время, смотрят обучающие видеоролики по новым понятиям и решают практические задачи. Шеннон Макграт, тренер-инструктор из Вестерн-Спрингс, штат Иллинойс, говорит, что Zearn — это хорошая «концептуальная практика высокого уровня» и дает хорошие отзывы как учителям, так и ученикам, но иногда может быть слишком медленным для детей, которые быстро осваивают концепции.
Открытые математические задачи
Открытые математические задачи — задачи, которые обычно имеют более одного ответа — помогают учащимся развить концептуальное понимание математики, а не зацикливаться на запоминании фактов, сказали преподаватели математики, с которыми мы разговаривали, которые постоянно упоминали три бесплатных веб-сайта. использовать для открытых математических задач.
Open Middle (дошкольный – 12-й класс) оставляет части уравнения пустыми и просит учащихся заполнить их, чтобы оно было верным. «Мне нравится Open Middle для удаленного обучения, особенно в сочетании с Google Jamboard, — говорит МакГрат. «Задачи вдохновляют на исследовательское мышление, игровые игры, творчество и настойчивость».
Предоставлено Мэри Бурасса/Который не принадлежит
Использование «Какому не принадлежит?» Студенты Мэри Бурасса, изучающие математику, приводят математический аргумент, почему каждый график лишний.
МакГрат также любит математику (дошкольный – 12-й класс) для создания сообщества. При использовании сайта учащиеся выбирают один из двух примеров из реальной жизни — например, коробку конфет с пятью рядами и 14 столбцами или коробку конфет с семью рядами и девятью столбцами — и должны привести математический аргумент, чтобы подтвердить свой выбор.
Какой из них не принадлежит? (pre-K–12 класс), аналогичный сайт, демонстрирует четыре фигуры, числа или графики и просит учеников описать, какая из них не принадлежит, используя математический словарь. «Это отлично подходит для начала синхронного обсуждения, поскольку считается задачей с низким уровнем пола и высоким потолком», — говорит Джозеф Манфре, специалист по математике из Департамента образования Гавайев. Учительница математики средней школы Мэри Бурасса просит своих учеников, изучающих математику, определить причины, по которым каждый график в наборе из четырех не принадлежит, указывая характеристики графика, такие как асимптоты и недифференцируемые точки, а позже ее ученики создают свои собственные наборы WODB.
Расширенные математические задачи
Для сложных математических задач — задач, которые поддаются строгости, сотрудничеству и концептуальному мышлению — преподаватели математики отметили пару веб-сайтов.
Предоставлено Брайаном Пенфаундом/Fraction Talks
Учащиеся используют это изображение из Fraction Talks, чтобы попрактиковаться в сложении и умножении дробей. Нижняя угловая часть представляет собой ½ x ¼ = ⅛.
Fraction Talks (1–12 классы) — это веб-сайт, заполненный изображениями фигур — например, треугольников внутри треугольников, — которые поощряют математические дискуссии. Просто спрашивая студентов: «Что вы наблюдаете?» может подсказать им, что и сколько фигур они заметили, спрашивая: «Сколько фигур красных или заштрихованных?» побуждает учащихся изучать и понимать дроби. Как только учащиеся получат базовое представление о дробях, они смогут приступить к изучению более сложных понятий.
Предлагая учащимся смотреть на части фигуры и на то, какие дроби они получают при объединении, Брайан Пенфаунд помог своим ученикам седьмого и восьмого классов визуализировать сложение и умножение дробей.
Визуальные паттерны (K–12 класс) показывает начало паттерна — например, несколько клеток в сетке — затем просит учащихся составить уравнение, соответствующее этому паттерну. «Несмотря на то, что есть только один ответ, — говорит Манфре, — вы можете задавать более глубокие вопросы с помощью таких задач и вовлекать учащихся в математику в ее более естественной, наглядной форме».
Предоставлено Visual Patterns
Учащиеся должны найти уравнение для этого шаблона.
Инструменты моделирования
По словам учителей математики, симуляции, такие как манипулирование выражением и просмотр изменений на графике, являются отличными инструментами, помогающими учащимся визуализировать математические концепции.
Предоставлено Эшли Таплин
Эшли Таплин, специалист по математике средней школы, попросила своих учеников составить график своего самочувствия в течение первой недели дистанционного обучения.
Апплеты — простой код с определенной целью — были упомянуты несколькими учителями как хороший ресурс. Студенты-статистики Эммы Чьяппетта используют апплеты с сайта RossmanChance.com, например, для манипулирования и определения шаблонов распределения выборки на графиках. Она создает базовое руководство о том, как использовать апплет, какие значения следует изменить, а затем задает вопросы, чтобы заставить учащихся критически осмыслить эти шаблоны. Кьяппетта также использует апплеты Массачусетского технологического института для своих студентов, изучающих линейную алгебру.
Desmos (6–12 классы), веб-сайт с интерактивными математическими заданиями и графическим калькулятором (также доступен в виде приложения для iPhone, iPad, iPod Touch и Android) — еще один бесплатный инструмент, пользующийся популярностью среди учителей, как мы слышали.


..

com
В., 1999.
..
rodeo

М., Саакян С.М., Шварцбурд С.И.)
И. — Рукопись. — 2015. Настоящее пособие содержит решения самостоятельных и контрольных работ из сборника «Алгебра и начала математического анализа. Дидактические материалы. 11 класс : базовый уровень / [М. И. Шабунин, Р. Г. Газарян, М. В. Ткачёва, Н. Е. Фёдорова].
И. Алгебра и начала…
Самостоятельные работы обозначены буквой С с соответствующим номером. Например, С-5 — это пятая самостоятельная работа.
..
at.alleng.org