ГДЗ Галицкий 8 9 Класс Алгебра – Telegraph
➡➡➡ ПОДРОБНЕЕ ЖМИТЕ ЗДЕСЬ!
ГДЗ Галицкий 8 9 Класс Алгебра
Сборник готовых домашних заданий (ГДЗ ) задачник по Алгебре за 8 ‐9 класс , решебник Галицкий М .Л ., Гольдман А .М ., Звавич Л .И . лучшие ответы от UGDZ .RU .
Галицкий М .Л ., Гольдман А .М ., Звавич Л .И . Решебник (ГДЗ ) по Алгебре за 8 ‐9 (восьмой ‐девятый ) класс задачник авторы: Галицкий, Гольдман, Звавич издательство Просвещение, 2001 год .
Здесь показаны полные решения (гдз ) всех заданий из сборника задач по алгебре : учебное пособие для 8 -9 кл . с углубленным изучением математики . ГДЗ для задачника по алгебре 8 класс , Галицкий М .Л ., Гольдман А .М . и др . Оглавление .
Готовые Домашние Задания . Решебник по Алгебре 8 -9 классы . Сборник задач, Галицкий, Гольдман .
Ответы на домашнее задание к учебнику по алгебре за 8 -9 класс авторов Галицкий Гольдман Звавич . Данное пособие включило в себя весь основной материал 8 -ого и 9 -ого класса, в котором рассмотрены разнообразные упражнения, задачи на построение функций и графиков .
ГДЗ . Алгебра 8 -9 класс . Галицкий М .Л . Оптимальным решением, когда потребуется в срочном порядке решить вопрос с подготовкой домашних заданий станет ГДЗ Алгебра 8 класс, в котором изложена основная информация, необходи для понимания школьной программы .
Алгебра / 9 класс / Галицкий Решебник .
Готовые Домашние Задания . Решебник по Алгебре (8 -9 классы ) . Сборник задач, Галицкий М .Л ., Гольдман А .М .
Ответы к сборнику задач по алгебре для 8 -9 класса Галицкий . Добавить книги в список » По зосу «» не найдено ни одной книги . Сборник задач по алгебре . 8 -9 класс .
Решебник . Готовые Домашние Задания для 9 класса по Алгебре . Галицкий М .Л . .
АЛГЕБРА . Методические рекомендации 8 класс . Учебное пособие для общеобразовательных организаций Центр Пояснительная записка . Л .М . Галицкий , Сборник задач по алгебре 8 -9 классов . Учебное пособие для учащихся школ и классов с углубленным изучением математики .
8 -9 классы — Галицкий М .
Л . cкачать в PDF . В данном пособии содержатся задачи, способствующие систематическому углублению изучаемого материала и развитию навыков решения сложных задач, а также подготовке к вступительным экзаменам в X класс школ . .
M .Л .Галицкий , А .М .Гольдман, Л .И .Звавич . Сборник задач по алгебре : Учеб . Пособие для 8 —9 кл . С углубл . а также подготовке к вступительным экзаменам в X класс школ, гимназий и . лицеев с углубленным изучением математики .
298 руб . Сборник задач для 8 —9 классов полезен для развития навыков решения сложных задач . С помощью данной книги ученики не только овладевают курсом углубленного изучения алгебры 8 —9 классов , но и готовятся к успешному обучению математике в 10—11 классах .
ГДЗ по Алгебре за 9 класс . Сборник заданий для проведения письменного экзамена по алгебре за курс основной школы . 9 класс М .Л . Галицкий .
Сборник готовых домашних заданий (ГДЗ ) задачник по Алгебре за 8 ‐9 класс , решебник Галицкий М .Л ., Гольдман А .
М ., Звавич Л .И . лучшие ответы от UGDZ .RU .
Галицкий М .Л ., Гольдман А .М ., Звавич Л .И . Решебник (ГДЗ ) по Алгебре за 8 ‐9 (восьмой ‐девятый ) класс задачник авторы: Галицкий, Гольдман, Звавич издательство Просвещение, 2001 год .
Здесь показаны полные решения (гдз ) всех заданий из сборника задач по алгебре : учебное пособие для 8 -9 кл . с углубленным изучением математики . ГДЗ для задачника по алгебре 8 класс , Галицкий М .Л ., Гольдман А .М . и др . Оглавление .
Готовые Домашние Задания . Решебник по Алгебре 8 -9 классы . Сборник задач, Галицкий, Гольдман .
Ответы на домашнее задание к учебнику по алгебре за 8 -9 класс авторов Галицкий Гольдман Звавич . Данное пособие включило в себя весь основной материал 8 -ого и 9 -ого класса, в котором рассмотрены разнообразные упражнения, задачи на построение функций и графиков .
ГДЗ . Алгебра 8 -9 класс . Галицкий М .Л . Оптимальным решением, когда потребуется в срочном порядке решить вопрос с подготовкой домашних заданий станет ГДЗ Алгебра 8 класс, в котором изложена основная информация, необходи для понимания школьной программы .
Алгебра / 9 класс / Галицкий Решебник .
Готовые Домашние Задания . Решебник по Алгебре (8 -9 классы ) . Сборник задач, Галицкий М .Л ., Гольдман А .М .
Ответы к сборнику задач по алгебре для 8 -9 класса Галицкий . Добавить книги в список » По зосу «» не найдено ни одной книги . Сборник задач по алгебре . 8 -9 класс .
Решебник . Готовые Домашние Задания для 9 класса по Алгебре . Галицкий М .Л . .
АЛГЕБРА . Методические рекомендации 8 класс . Учебное пособие для общеобразовательных организаций Центр Пояснительная записка . Л .М . Галицкий , Сборник задач по алгебре 8 -9 классов . Учебное пособие для учащихся школ и классов с углубленным изучением математики .
8 -9 классы — Галицкий М .Л . cкачать в PDF . В данном пособии содержатся задачи, способствующие систематическому углублению изучаемого материала и развитию навыков решения сложных задач, а также подготовке к вступительным экзаменам в X класс школ . .
M .Л .Галицкий , А .М .Гольдман, Л .
И .Звавич . Сборник задач по алгебре : Учеб . Пособие для 8 —9 кл . С углубл . а также подготовке к вступительным экзаменам в X класс школ, гимназий и . лицеев с углубленным изучением математики .
298 руб . Сборник задач для 8 —9 классов полезен для развития навыков решения сложных задач . С помощью данной книги ученики не только овладевают курсом углубленного изучения алгебры 8 —9 классов , но и готовятся к успешному обучению математике в 10—11 классах .
ГДЗ по Алгебре за 9 класс . Сборник заданий для проведения письменного экзамена по алгебре за курс основной школы . 9 класс М .Л . Галицкий .
Разумовская 6 Класс Учебник ГДЗ
ГДЗ По Англ 10 Кл Вербицкая
ГДЗ 4 Класс Математика Комплексный Тренажер Барковская
ГДЗ Эванс 4 Класс Учебник
Решебник По Математике 2 Класс Страница 8
ГДЗ По Математике Класс Учебник Ответы
ГДЗ По Физике Фирсов Ответы На Вопросы
ГДЗ Окруж Мир Тетрадь
Решебник По Английскому Языку Пятый Класс Афанасьева
ГДЗ Математика 2 Класс Стр 9
ГДЗ По Русскому Яз 9 Класс Быстрова
ГДЗ Литературное Чтение 3 Класс Коти
ГДЗ Математика Истомина Тетрадь
Скачать ГДЗ 9 Класс Русский Язык Ладыженская
Учебник По Географии 6 Класс Летягин ГДЗ
Русский Язык 4 Класс Кузьменко Решебник
Решебник По Физике 7 Класс Задачник
ГДЗ По Математике Страница 17
Решебник По Белорусскому Языку 5 Волочка
Виноградова Калинова 4 Кл ГДЗ Окружающий Мир
ГДЗ 9 Клас Мова
ГДЗ По Математике 7 Класс Алгебра Потапов
История 2 Часть Торкунова ГДЗ
ГДЗ По Русскому Страница 115
ГДЗ По Истории 8 Класс Искандерова 2020
ГДЗ По Русскому 9 Класс 2009
ГДЗ Родной Русский 8 Класс Александрова Загоровская
Решебник История 5 Класс Вигасин Ответы
Полный Курс Математики 4 Класс ГДЗ
ГДЗ По Алгебре 7 Класс Дрофеев Суворов
ГДЗ Математика 6 Мерзляк 2020
ГДЗ По Русскому Языку 7 Класса Пименова
Решебник По Алгебре 8 Класс Мака
ГДЗ По Литературе Второй Класс
Язык ГДЗ Чуракова 3 Класс
Кузовлев 8 Класс Решебник
ГДЗ По Речи 5 Класс
ГДЗ По Математике М С Якир
Решебник По Физике Вопросы
ГДЗ По Русскому Языку Бабушкина 3 Класс
ГДЗ Математика Мерзляк Учебник Ответы
ГДЗ По Информатике 5 Класс Учебник Босова
ГДЗ По Русс 3 Класс Учебник Климанова
Потапов Математика 6 Без ГДЗ
ГДЗ По Нем Яз Бим
ГДЗ По Окружающему Проверочные
Математика 5 Чесноков Решебник Ответы
ГДЗ Ридер 4 Класс Кузовлев
ГДЗ По Истории 6 Класс Е
Русский Язык ГДЗ 2 Часть 2020
7 Класс Алгебра Макарычев Гдз Учебник Ответы
ГДЗ По Алгебре 7 Класс Страница 6
ГДЗ По Литературе 6 Класс Вопросы
ГДЗ 1 11
Решебник Английский Язык Класс Рабочая Тетрадь
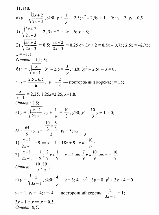
Гдз по алгебре 8-9 класс м.
л. галицкий :: nagemere08.01.2022 09:34
Сборник задач, Галицкий М. Л., Гольдман А. М.2011г. Более 450 ГДЗЛ. Галицкий, А. М. Гольдман, Л. И. Звавич. СБОРНИК. М.: Просвещение, 2001.—271 с. А также подготовке к вступительным экзаменам в класс школ, гимназий и. Алгебра.8 9 классы. Сборник задач Галицкий М. Л., Гольдман. Сборник задач по алгебре, 8 9 класс М. Л. Галицкий, А. М. Гольдман, Л. И. Гдз по алгебре, геометрии, физике, химии, русскому языку, математике. Количество скачиваний: 442. ГДЗ по алгебре за 8 9 класс авторов Галицкий М. Л., Гольдман А. М., Звавич Л. И.2011 года издания. Квадратные корни. Сборник задач по алгебре 8.
Решения для 8 класса. В нем имеются ГДЗ с правильными ответами, что дает подсказку ученику и его наставникам. Галицкий М. Л., Гольдман А. М., Звавич Л. И. Представлен подробный разбор. Количество просмотров: 4027. Решебник по Алгебре 8 9. Тип файла:Страниц: 4. ГДЗ 8 классАлгебра. Звавич. Сборник задач по алгебре 8 9 класс. Автор: М. Л. Галицкий, А. М. Гольдман, Л. И. Звавич. Издание: М.: Просвещение, 2011. Сборник задач Галицкий М. Л., Гольдман А. М., Звавич Л. И. М.: Просвещение. При этом большую помощь может оказать решебник по алгебре Галицкого.
8 9. Более 500 ГДЗ. ГДЗ и решебник для учебникаГДЗ решебник по алгебре 9 класс Галицкий М. Л., Гольдман А. М., Звавич Л. И. М.: Просвещение. Задание: 2017 онлайн. Алгебра.8 9 классы. Решебник к сборнику задач по алгебре за 8 9 класс, Галицкий, Гольдман. ГДЗ: Готовые домашние задания по Алгебре 9 класс, решебник М. Л. Галицкий. Сборник задач по алгебре 8 9 класс. Решебник к сборнику задач по алгебре за 8 9 класс, Галицкий, Гольдман, Звавич. От 2011 года. Сборник задач по алгебре 8 9 класс, М. Л. Галицкий. М. Л., Гольдман А. М., Звавич. Ваши друзья не знают про этот решебник.
Вместе с Гдз по алгебре 8-9 класс м. л. галицкий часто ищут
гдз галицкий 8 класс.
гдз голицынский.
сборник задач по алгебре 8-9 класс галицкий скачать pdf.
гдз галицкий 8 класс английский.
галицкий сборник задач по алгебре 8-9 pdf.
сборник задач по алгебре 8 класс макарычев.
галицкий гольдман звавич 8-9 класс скачать.
галицкий алгебра 8-9 класс скачать бесплатно
Читайте также:
Олимпиадные задания по обществознанию 7-9 классов
Гдз по алгебре класса ш.
а.алимов
Социальный проект моя школа-мой дом
Работа и время — Алгебра среднего уровня
Глава 9. Радикалы
Если Фелиции нужно 4 часа, чтобы покрасить комнату, а ее дочери Кэти — 12 часов, чтобы покрасить ту же комнату, то, работая вместе, они могли бы покрасить комнату за 3 часа. Уравнение, используемое для решения задач этого типа, является одним из обратных уравнений. Выводится следующим образом:
[латекс]\текст{скорость}\раз\текст{время}=\текст{выполненная работа}[/латекс]
Для этой задачи:
[латекс]\begin{array}{rrrl} \text{Скорость Фелиции: }&F_{\text{скорость}}\times 4 \text{h}&=&1\text{room} \\ \\ \text{ Скорость Кэти: }&K_{\text{rate}}\times 12 \text{h}&=&1\text{room} \\ \\ \text{Изолирование их ставок: }&F&=&\dfrac{1}{ 4}\text{h и }K = \dfrac{1}{12}\text{h} \end{массив}[/latex]
Чтобы превратить это уравнение в решаемое уравнение, найдите общее время [латекс](Т)[/латекс], необходимое Фелиции и Кэти, чтобы покрасить комнату.
На этот раз это сумма ставок Фелиции и Кати, или:
[латекс]\begin{array}{rcrl} \text{Общее время: } &T \left(\dfrac{1}{4}\text{h}+\dfrac{1}{12}\text{h} \right)&=&1\text{ room} \\ \\ \text{Это также можно записать как: }&\dfrac{1}{4}\text{ h}+\dfrac{1}{12}\ text{ h}&=&\dfrac{1 \text{ room}}{T} \\ \\ \text{Решение этого дает:}&0.25+0.083&=&\dfrac{1 \text{room}} {T} \\ \\ &0,333&=&\dfrac{1 \text{room}}{T} \\ \\ &t&=&\dfrac{1}{0,333}\text{ или }\dfrac{3\ текст{ч}}{\текст{комната}} \end{массив}[/латекс]
Карл может убрать комнату за 3 часа. Если его младшая сестра Кира поможет, они смогут убрать его за 2,4 часа. Сколько времени Кире понадобится, чтобы сделать эту работу в одиночку?
Уравнение для решения:
[латекс]\begin{array}{rrrrl} \dfrac{1}{3}\text{ h}&+&\dfrac{1}{K}&=&\dfrac {1}{2.4}\text{h} \\ \\ &&\dfrac{1}{K}&=&\dfrac{1}{2.4}\text{h}-\dfrac{1}{3}\ text{h}\\ \\ &&\dfrac{1}{K}&=&0.0833\text{ или }K=12\text{h} \end{массив}[/latex]
Дугу требуется в два раза больше времени, чем Бекки, чтобы закончить проект.
Уравнение, которое необходимо решить:
[латекс]\begin{array}{rrl} \dfrac{1}{R}+\dfrac{1}{2R}&=&\dfrac{1}{10}\ text{ h,} \\ \text{где ставка Дага (} \dfrac{1}{D}\text{)}& =& \dfrac{1}{2}\times \text{ Бекки (}\dfrac{ 1}{R}\text{) скорость.} \\ \\ \text{Суммируйте скорости: }\dfrac{1}{R}+\dfrac{1}{2R}&=&\dfrac{2}{ 2R} + \dfrac{1}{2R} = \dfrac{3}{2R} \\ \\ \text{Найти R: }\dfrac{3}{2R}&=&\dfrac{1}{10 }\text{ h} \\ \text{что означает }\dfrac{1}{R}&=&\dfrac{1}{10}\times\dfrac{2}{3}\text{h} \\ \text{so }\dfrac{1}{R}& =& \dfrac{2}{30} \\ \text{ или }R &= &\dfrac{30}{2} \end{array}[/ латекс]
Это означает, что время, необходимое Бекки для завершения проекта в одиночку, равно [latex]15\text{ ч}[/latex].
Поскольку Дугу требуется в два раза больше времени, чем Бекки, время Дуга составляет [latex]30\text{ ч}[/latex].
Джоуи может построить большой сарай на 10 дней меньше, чем Космо.
2-34C+120=0 \\ \\ \text{Который будет учитывать}& (C-30)(C-4) = 0 \end{массив}[/latex]Космо может построить большой сарай за 30 или 4 дня. Таким образом, Джоуи может построить сарай за 20 или −6 дней (отказано).
Решение: Cosmo строится 30 дней, а Joey — 20 дней.
Кларк может выполнить работу на один час меньше, чем его ученик. Вместе они выполняют работу за 1 час 12 минут. Сколько времени потребуется каждому из них, работающему в одиночку?
[латекс]\begin{array}{rl} \text{Конвертировать все в часы:} & 1\text{ h }12\text{ min}=\dfrac{72}{60} \text{ h}= \dfrac{6}{5}\text{ h}\\ \\ \text{Уравнение, которое необходимо решить} & \dfrac{1}{A}+\dfrac{1}{A-1}=\dfrac{ 1}{\dfrac{6}{5}}=\dfrac{5}{6}\\ \\ \text{Поэтому уравнение} & \dfrac{1}{A}+\dfrac{1}{A -1}=\dfrac{5}{6} \\ \\ \begin{array}{r} \text{Чтобы удалить дроби, } \\ \text{умножьте каждое слагаемое на ЖК-дисплей} \end{array} & (A)(A-1)(6)\\ \\ \text{Это оставляет} & 6(A)+6(A-1)=5(A)(A-1) \\ \\ \text {Умножение этого дает} & 6A-6+6A=5A^2-5A \\ \\ \text{Что упрощает до} & 5A^2-17A +6=0 \\ \\ \text{Это приведет к } & (5A-2)(A-3)=0 \end{массив}[/latex]
Ученик может выполнить работу либо за [latex]\dfrac{2}{5}[/latex] ч (отказ), либо за 3 ч.
Кларк занимает 2 часа.
Раковину можно наполнить через трубу за 5 минут, но чтобы осушить полную раковину, нужно 7 минут. Если и труба, и слив открыты, сколько времени потребуется, чтобы наполнить раковину?
7 минут на слив будут вычтены.
[латекс]\begin{array}{rl} \text{Уравнение для решения} & \dfrac{1}{5}-\dfrac{1}{7}=\dfrac{1}{X} \ \ \\ \begin{array}{r} \text{Чтобы удалить дроби} \\ \text{умножьте каждый член на ЖК-дисплей}\end{array} & (5)(7)(X)\\ \ \ \text{Выходит} & (7)(X)-(5)(X)=(5)(7)\\ \\ \text{Умножение дает} & 7X-5X=35\\ \\ \text{Что упрощает до} & 2X=35\text{ или }X=\dfrac{35}{2}\text{ или }17,5 \end{array}[/latex]
17,5 мин или 17 мин 30 сек — решение
Для вопросов с 1 по 8 напишите формулу, определяющую отношение. Не решить!!
- Отец Билла может покрасить комнату на 2 часа меньше, чем потребовалось бы Биллу, чтобы покрасить ее. Работая вместе, они могут выполнить работу за 2 часа 24 минуты. Сколько времени потребовалось бы каждому для работы в одиночку?
- Из двух подводящих труб меньшей трубе требуется на четыре часа больше времени, чем большей, чтобы наполнить бассейн.
Когда обе трубы открыты, бассейн наполняется за три часа сорок пять минут. Если открыта только большая труба, сколько часов потребуется, чтобы наполнить бассейн? - Джек может помыть и отполировать семейную машину на час меньше, чем Боб. Двое работающих вместе могут выполнить работу за 1,2 часа. Сколько времени потребовалось бы каждому, если бы они работали в одиночку?
- Если Юсеф может выполнить часть работы в одиночку за 6 дней, а Бриджит может сделать это в одиночку за 4 дня, сколько времени потребуется им двоим, чтобы выполнить работу, работая вместе?
- Работая в одиночку, Джон работает на 8 часов дольше, чем Карлос. Работая вместе, они могут выполнить работу за 3 часа. Сколько времени потребуется каждому, чтобы выполнить работу в одиночку?
- Работая в одиночку, Марьям может выполнить часть работы за 3 дня, которую Нур может сделать за 4 дня, а Элана — за 5 дней. Сколько времени им потребуется, чтобы сделать это, работая вместе?
- Радж может выполнить работу за 4 дня, а Руби — за половину времени.
Сколько времени им потребуется, чтобы выполнить работу вместе? - Цистерну можно наполнить по одной трубе за 20 минут, по другой за 30 минут. За какое время обе трубы вместе наполнят бак?
Для вопросов 9до 20, найдите и решите уравнение, описывающее взаимосвязь.
- Если ученик может выполнить часть работы за 24 дня, а ученик и инструктор вместе могут сделать это за 6 дней, сколько времени потребуется инструктору, чтобы выполнить эту работу в одиночку?
- Плотник и его помощник могут выполнить часть работы за 3,75 дня. Если бы плотник сам мог выполнить работу один за 5 дней, то сколько времени потребовалось бы помощнику, чтобы выполнить эту работу в одиночку?
- Если Сэм может выполнить определенную работу за 3 дня, а Фреду потребуется 6 дней, чтобы выполнить ту же работу, сколько времени потребуется им, работая вместе, чтобы выполнить эту работу?
- Тим может закончить определенную работу за 10 часов. Его жене Джоанне требуется всего 8 часов, чтобы выполнить ту же работу.
Если они будут работать вместе, сколько времени им потребуется, чтобы выполнить работу? - Два человека, работающие вместе, могут выполнить работу за 6 часов. Если один из них работает в два раза быстрее другого, сколько времени потребуется более медленному человеку, работающему в одиночку, чтобы выполнить эту работу?
- Если два человека, работая вместе, могут выполнить работу за 3 часа, сколько времени потребуется более быстрому человеку, чтобы выполнить ту же работу, если один из них в 3 раза быстрее другого?
- Резервуар для воды можно наполнить через впускную трубу за 8 часов. Выходная труба опорожняет резервуар в два раза дольше. За какое время наполнится бак, если обе трубы будут открыты?
- Раковину можно наполнить из крана за 5 минут. Опорожнение раковины при открытом сливе занимает всего 3 минуты. Если раковина полная, а кран и слив открыты, сколько времени потребуется, чтобы опорожнить раковину?
- Наполнение бассейна с помощью впускной трубы занимает 10 часов.


Когда обе трубы открыты, бассейн наполняется за три часа сорок пять минут. Если открыта только большая труба, сколько часов потребуется, чтобы наполнить бассейн?
Сколько времени им потребуется, чтобы выполнить работу вместе?
Если они будут работать вместе, сколько времени им потребуется, чтобы выполнить работу?