ГДЗ по Алгебре для 8 класса Учебник, Задачник Мордкович А.Г., Александрова Л.А., Тульчинская Е.Е., Мишустина Т.Н. часть 1, 2 на 5
Авторы: Мордкович А.Г., Александрова Л.А., Тульчинская Е.Е., Мишустина Т.Н..
Издательство: Мнемозина 2015-2019
«ГДЗ по алгебре 8 класс Задачник Мордкович, Александрова, Тульчинская, Мишустина (Мнемозина)» поможет восьмиклассникам освоить теоретические и практические навыки по курсу математики. Учебное пособие разработано в соответствии с требованиями Федерального государственного образовательного стандарта коллективом известных авторов в данной сфере и состоит из 40 параграфов, вопросов к итоговому повторению и контрольных работ. Решебник включает верные ответы на все номера заданий основного издания.
В восьмом классе у ребят ощущается значительный дефицит времени из-за большой загруженности по всем предметам.
Поэтому хорошая поддержка в учебе школьникам очень пригодится. Таким подспорьем в изучении алгебры является данное учебно-методическое пособие, содержащее подробные ответы на все номера. Ресурс превратит выполнение домашней подготовки по этой непростой науке из тяжелой рутины, сопряженной с немалым стрессом для ребят, в увлекательное занятие.
Продуктивная подготовка с решебником
«ГДЗ к задачнику по алгебре за 8 класс Мордкович А. Г., Александрова Л. А., Тульчинская Е. Е., Мишустина Т. Н. (Мнемозина)» поможет ученикам справиться с упражнениями по всем разделам программы. Пристального внимания, по мнению методистов, заслуживают следующие темы:
- – квадратные неравенства повышенной сложности;
- – рациональные уравнения как математические модели реальных ситуаций;
- – преобразование графиков функций.
Регулярная работа под руководством решебника позволит школьникам систематизировать знания, полученные на уроке от преподавателя, и решить самые трудные задачи.
Подробнее о плюсах решебника задачника по алгебре для 8 класса от Мордковича и его применения
Ресурс находится в круглосуточном онлайн-доступе. Благодаря удобной навигации отыскать нужный номер не составит никакого труда. Используя онлайн-сборник, учащиеся смогут:
- – сэкономить время на приготовлении домашних заданий;
- – подготовиться к проверочным и контрольным работам;
- – наверстать пропущенные уроки.
Отличная успеваемость и фундаментальные знания станут реальностью при использовании ГДЗ!
ГДЗ Алгебра 8 кл. Мордкович 2023
Авторы:Мордкович, Александрова, Мишустина
Тип:учебник
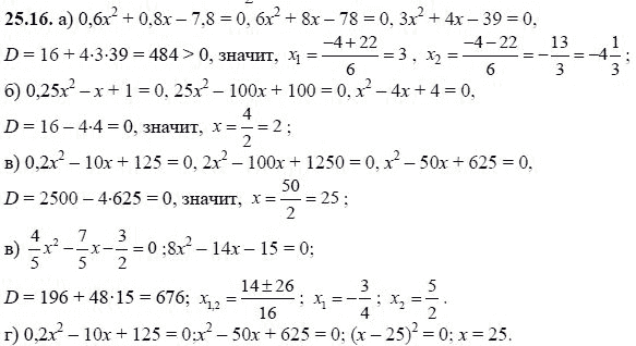
Какой номер надо решить?
Задачи на повторение
Итоговое повторение
Глава 1.
Алгебраические дроби
Глава 2. Функция y = √x. Свойства квадратного корня
Глава 3. Квадратичная функция. Функция у = к:х
Глава 4. Квадратные уравнения
Глава 5. Неравенства
Топовые ГДЗ по другим предметам
- Учебник
- Учебник
- Учебник
- Учебник
- Учебник
- Учебник
- Контурные
- Учебник
- Учебник
- Учебник
Подробные решения по алгебре за 8 класс авторы Мордкович, Александрова, Мишустина
Для восполнения пробелов в своих знаниях, подготовки на более качественном уровне к текущим опросам, плановым и итоговым самостоятельным, контрольным, восьмиклассникам пригодятся полезные пособия.
В числе наиболее эффективных называют гдз по алгебре за 8 класс Мордкович, занятия по которому желательно проводить ежедневно, выделяя на них минимум один час в день. Также не стоит делать долгосрочных, превышающих двух недель подряд, пропусков в такой подготовке. В противном случае часть изученного материала может забыться. А форсированное изучение впоследствии вызовет усталость, снижение интереса к дисциплине.
Приоритетные группы пользователей онлайн справочников
В числе тех, кто часто или постоянно использует сборник готовых решений по алгебре 8 класс Мордкович
- выпускники, которые готовятся сдавать ОГЭ или ЕГЭ и повторяют материал, который был изучен ранее, в восьмом классе;
- подростки, стремящиеся к участию в математических конкурсах и олимпиадах, изучающие в школе этот предмет по другим учебным программам, УМК, пособиям иных авторов, желающие расширить свои знания материала, разобраться в решении трудных заданий самостоятельно;
- дети, находящиеся на домашней, дистанционной, семейной формах обучения, восполняющие при помощи ресурса пропущенные по тем или иным причинам объяснения материала учителем;
- непосредственно школьные педагоги-предметники, которые должны в кратчайшие сроки выполнить множество задач: составить и предоставить отчеты, запланировать и реализовать воспитательные и иные мероприятия и т.
п. С помощью этого источника они смогут оперативно и качественно проверить сданные учениками работы; - родители восьмиклассников — для оценки уровня, качества знаний своего ребенка без глубокого внедрения в программу школьного курса алгебры.
Неоспоримые плюсы решебника по алгебре для 8 класса (авторы Мордкович, Александрова, Мишустина)
Хотя некоторые родители и педагоги и сегодня отрицательно относятся к идее применения еуроки ГДЗ, многие из них уже убедились в неоспоримых преимуществах этого ресурса:
- его доступности каждый день, для всех категорий пользователей;
- соответствии предлагаемых материалов регламентам образовательных Стандартов, в том числе — по оформлению работы;
- возможности сэкономить семейный бюджет, отказавшись от репетиторов или снизив расходы на них;
- отработка сложных материалов, вопросов, вынесенных на контроль и сравнение своих ответов с эталонными заблаговременно, заранее, до проверки работы учителем. Это положительно скажется на оценке.


п. С помощью этого источника они смогут оперативно и качественно проверить сданные учениками работы;